火-储耦合系统一次调频控制策略与容量配置协同优化

张国斌1,周 磊1,郭瑞君1,党少佳1,魏宽畅2,梁 璐2,洪 烽2

(1.内蒙古电力(集团)有限责任公司 内蒙古电力科学研究院分公司,内蒙古 呼和浩特 010020;2.华北电力大学 控制与计算机工程学院,北京 102206)

摘 要:针对飞轮储能耦合火电机组参与一次调频过程中控制策略和容量配置的关键问题,提出了一种考虑飞轮储能荷电状态管理的火-储耦合系统一次调频控制策略和容量配置协同优化方法。首先,建立了考虑飞轮储能荷电状态动态管理的火-储耦合系统控制策略;其次,提出了综合考虑一次调频性能、全生命周期成本和经济性收益的经济评估模型,构建一次调频控制策略与容量配置协同优化框架,并采用粒子群算法求解;最后,采用某350 MW二次再热机组典型日调频数据进行仿真验证,并对求解过程中关键参数进行灵敏度分析。结果表明:所提协同优化方法可以提高火-储一次调频性能和调频收益。其中,储能系统全生命周期总体经济收益提升15.09%,投资回收年限缩短13.14%,验证了所提协同优化方法的有效性。

关键词:飞轮储能; 一次调频; 容量配置; 控制策略; 协同优化

在“双碳”目标引领下,中国能源结构加速向以清洁能源为发电主体转变[1]。风电和太阳能等新能源并网显著加剧了电网频率波动,对频率支撑能力提出了更高要求。传统火电机组(thermal power unit,TPU)因热惯性大、响应慢,已难以满足电网频率稳定性需求[2]。储能技术的快速发展推动火电机组由独立调频向耦合新型储能联合调频演进,构建火电与多元储能协同调频机制,已成为提升系统灵活性和稳定性的关键路径[3]

飞轮储能(flywheel energy storage,FES)作为一种新型储能技术,具有充放电速度快、功率密度高、可频繁充放电等特点,通过耦合燃煤机组参与电力系统一次调频,可以有效提升传统燃煤机组调频能力,提高机组运行的安全性和稳定性[4]。飞轮储能耦合燃煤机组的控制策略及容量配置方法是重要的研究方向,可优化提升系统调频经济效益,对储能系统的应用和推广具有积极影响[5]

目前,针对飞轮储能耦合火电机组参与一次调频控制策略的研究很多。何林轩等[6]验证了基于下垂控制的火电-飞轮耦合系统一次调频控制可以提升频率支撑能力。代本谦等[7]提出了飞轮储能满功率辅助火电机组一次调频控制策略,提升了一次调频动作合格率。Marzebali等[8]基于不同模态的频率支撑需求,提出了一种储能电池动态下垂控制策略。上述控制策略研究默认飞轮储能容量配置充足,控制手段以虚拟下垂或虚拟惯性控制为主,没有兼顾飞轮储能系统实时荷电状态(state of charge,SOC)管理,同时没有深入探索储能容量配置不同对控制策略调频性能和经济收益的影响,具有一定的局限性。

在飞轮储能容量配置优化方法的研究中,宋杰等[9]提出了一种基于经验模态分解(empirical mode decomposition,EMD)的储能辅助火电机组一次调频容量规划方法。罗耀东等[10]考虑调频性能指标和全生命周期成本,提出了一种飞轮储能系统容量配置方法,提高了火-储耦合系统调频性能和经济效益。李军徽等[11]构建了一种混合储能-火电机组耦合系统参与AGC的双层优化配置模型,提高耦合调频系统的调频收益。上述文献在研究储能容量配置的过程中,忽略了储能系统的实时荷电状态对连续调频过程中系统实时输出功率的影响。

针对上述问题,本文提出了基于飞轮储能SOC动态管理的自适应协同下垂控制策略,并搭建了火-储(TPU-FES)耦合系统一次调频控制策略与容量配置协同优化模型。综合考虑系统一次调频性能、全生命周期成本和经济性收益,建立火-储耦合系统容量配置经济评估模型,采用粒子群算法求解该优化模型,最后根据某电厂实际运行数据对协同优化模型开展验证及分析。

1 火-储耦合系统一次调频控制

1.1 火-储耦合调频控制系统框架

飞轮储能系统作为辅助设备耦合火电机组参与电网一次调频,可以有效提升电网频率主动支撑能力,保证电力系统运行稳定性[12]。建立包含飞轮储能的火-储耦合系统结构如图1所示。其中火电机组包括锅炉系统、汽轮机系统及机炉协调控制系统,飞轮储能系统由飞轮和飞轮储能荷电状态管理系统组成。火储能电机组和飞轮储能模型结构及参数参考文献[3-7]。

图1 火-储耦合系统结构图

Figure 1 Structure diagram of the TPU-FES coupled system

1.2 基于自适应协同下垂的火-储耦合控制

为了充分发挥火-储耦合系统的性能优势,本文建立了火-储耦合的自适应协同下垂控制系统,将一次调频功率指令进行非线性分解并分配到飞轮储能和火电机组,二者分别响应快变信号和慢变信号,可以有效降低机组频繁快速变负荷需求,增加频率稳定性和频率支撑能力。

非线性指令分解模块的输入指令为

PG=-KG·Δf

(1)

式中:PG为一次调频功率指令,MW;KG为火电机组特性系数;Δf为频率偏差。

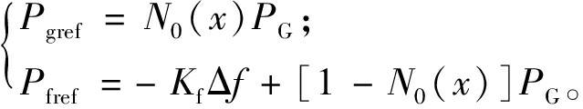
对功率指令PG(s)进行非线性分解,并分别分配到火电机组和飞轮储能系统中。将PG(s)进行如下分解:

PG(s)=N0(x)PG(s)+[1-N0(x)]PG(s)。

(2)

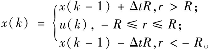
速度限制环节描述如下所示:

(3)

(4)

式中:ux分别为输入、输出;kk-1分别代表当前时刻、上一时刻;Δt代表计算步长;R为速度限制值,取值为火电机组变负荷速度的1%;r为当前信号变化速度。

经过式(1)~(4)分配后得到的火电机组和飞轮储能系统输出参考功率为

(5)

式中:火电机组功率指令Pgref为指令分解结果中慢变信号;飞轮储能系统功率指令Pfref为下垂控制功率与指令分解结果中快变信号之和。

1.3 飞轮储能SOC动态管理策略

由于飞轮储能成本高昂,为充分发挥火-储耦合系统的调频性能,应当将飞轮储能荷电状态(SOC)保持在合理范围。因此本文对飞轮储能系统实时输出功率进行约束,提出基于储能SOC动态管理的控制策略。

当|Δf|>0.033 Hz时,火-储耦合系统参与一次调频动作,若飞轮储能系统一直以额定功率充放电,会造成飞轮储能参与调频的电量裕度耗尽。引入Logistic回归函数,基于飞轮储能实时SOC构建储能最大出力限制。

当Δf>0.033 Hz时,

(6)

当Δf<-0.033 Hz时,

(7)

式中:PRc为储能实时充电指令;PRd为储能实时放电指令;Prated为储能额定功率;SOChigh、SOClow分别为飞轮储能SOC满功率充放电区间上、下限,分别取值0.6,0.4;Pc为基于SOC反馈的储能充电指令;Pd为基于SOC反馈的储能放电指令。PcPd计算公式为

(8)

式中:nP0均为自适应因子;SOCmax、SOCmin分别为飞轮储能充放电过程中SOC上、下限设定值,分别取值0.9,0.1[13]

综上所述,基于储能SOC动态管理的储能功率指令为

(9)

2 火-储耦合系统一次调频容量配置优化

2.1 控制策略与容量配置协同优化框架

本文从最大化飞轮储能系统的投资经济性出发,搭建火-储耦合系统控制策略与容量配置协同优化框架如图2所示。首先,搭建了火-储联合系统参与电网一次调频的控制模型,设计了火-储耦合系统的优化控制策略;其次,结合华中区域电网的一次调频细则要求和储能的全生命周期成本,构建涵盖一次调频性能、全生命周期成本和经济性收益的容量优化配置目标函数;最后,结合现场典型日的频率数据,采用粒子群优化算法进行计算求解,得到全生命周期下飞轮储能系统最优容量配置结果。

图2 控制策略与容量配置协同优化框架

Figure 2 Coordinated optimization framework of control strategy and capacity configuration

2.2 目标函数

合理的飞轮储能系统容量配置选择不仅要考虑到设备初始投资成本,还要考虑飞轮储能系统全生命周期内的调频性能、运维成本等综合指标[14]。本文综合考虑一次调频性能、全生命周期成本和经济性收益[15],以年化收益最大为目标,设置目标值F

F=max C

(10)

式中:C为综合经济效益。

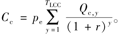
2.2.1 全生命周期成本

全生命周期成本包括初始投资成本、运维成本和损失电量成本,考虑到飞轮储能系统使用寿命一般为20 a,因此初始投资成本中不包含设备更换成本。

(1)初始投资成本。初始投资成本计算公式为

Cinv=CEErated+CPPrated

(11)

式中:CE为飞轮储能容量成本;CP为飞轮储能功率成本;Erated为额定容量,MW·h。

(2)运维成本。运维成本包含飞轮储能传统功率运维成本和容量运维成本,计算公式为

(12)

式中:CEO,M为单位容量运维成本;CPO,M为单位功率运维成本;TLCC为飞轮寿命周期;r为贴现率。

(3)损失电量成本。飞轮储能系统在充放电过程中存在电量损失,飞轮损失电量计算公式为

(13)

式中:Pact为飞轮储能系统的实时出力,MW;ηcηd分别为飞轮储能的充、放电效率。

损失电量成本计算公式为

(14)

式中:Qc,y为第y年的损失电量。

2.2.2 经济收益

(1)一次调频收益。本文参考华中地区《发电厂并网两个细则》(简称《两个细则》)调频补偿规则,对调频主体参与一次调频中的小扰动、大扰动进行补偿。

小扰动补偿计算公式[16]

(15)

(16)

(17)

式中:fc为机组该月正确动作次数;fw为机组该月错误动作次数;Pn为并网主体额定容量,MW;c为0.1 h;SM等于1的累计总数,每月暂定不大于50;Is为小扰动补偿单价,设为200元/(MW·h)。

大扰动补偿计算公式[16]

Cb=1 000MHi1Ib

(18)

(19)

(20)

式中:Q为电量贡献指数;QE为分段电量贡献指数合格率;K为模拟扰动合格时的贡献率;Hi1为每次模拟扰动合格时间的调频实际贡献电量;Ib为大扰动补偿单价,设为450元/(MW·h)。

综上,火-储耦合系统参与电网一次调频经济收益Cs

Cs=Ca+Cb

(21)

(2)环境收益。飞轮储能系统辅助火电机组参与电网调频时,在火-储耦合系统协同控制策略的功率分配及对火电机组速度限制下,飞轮储能系统通过能量的充放,将火电机组的能量进行时空迁移,可以减少火电机组超调所带来的能量浪费,降低火电机组总体出力,进而减少污染物排放量,将所降低的污染物处理费用作为收益计算。火电机组主要产生的环境污染物为SO2和NOx(主要成分为NO、N2O和NO2的污染烟气),对应的治理成本Yeco

Yeco=A(GSO2XSO2+GNOxXNOx);

(22)

(23)

式中:A为火-储耦合系统发电量,MW·h;GSO2GNOx分别为单位电量下SO2和NOx排放量,kg/(MW·h);XSO2XNOx分别为SO2和NOx单位治理成本,万元/kg。

2.2.3 综合经济效益

飞轮储能耦合火电机组参与电网一次调频综合经济效益为

C=Cs+Yeco-Cinv-CO,M-Ce

(24)

2.3 约束条件

2.3.1 额定功率约束

在求解算法中,本文对飞轮储能系统采取额定功率约束,其中,选取储能功率指令的最大值作为储能功率范围约束的最大值:

0<Prated<Pfmax

(25)

式中:Pfmax为储能功率指令的最大值,MW。

2.3.2 额定容量约束

考虑到频繁指令波动对飞轮储能系统的考验,设置储能容量至少满足多次连续调节指令,因此对储能容量增设余量,初步设置飞轮储能充放电时间不超过3 min,设定飞轮储能额定容量约束为

0<Erated<0.05Pfmax

(26)

2.3.3 充放电功率约束

在仿真过程中,约束飞轮储能系统实时充放电功率不超过额定功率,约束如下:

-PratedPfPrated

(27)

2.4 粒子群求解算法

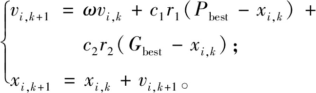
粒子群求解算法易实现、精度高,通过调整粒子的参数即可更新个体最优解和全局最优解[17-18]。本文采用粒子群算法进行求解,计算公式为

(28)

式中:i为粒子编号;k为粒子迭代次数;v为粒子速度;x为粒子位置;Pbest为个体最优;Gbest为种群最优;ω为粒子的惯性权重;c1c2均为学习因子;r1r2均为随机因数。

基于粒子群求解算法的容量配置优化模型求解过程如图3所示。构建本文选取的一次调频场景,搭建相应的火-储耦合系统;初始化粒子群求解参数PratedErated,利用第1节所述的控制策略开展仿真实验;基于仿真实验的结果,计算目标函数值,包括全生命周期成本和经济收益;对比各个粒子的目标函数值以更新个体最优解和群体最优解,并判断是否满足收敛条件;经过不断迭代输出约束条件下的最优结果PratedErated

图3 基于粒子群算法的飞轮储能容量配置优化求解流程

Figure 3 Optimization of flywheel energy storage capacity configuration based on particle swarm optimization algorithm

3 算例分析

3.1 调频场景及求解方法

采用某350 MW二次再热机组典型日(1 d)内的一次调频数据,采样间隔为1 s,如图4所示。

图4 典型日一次调频功率指令

Figure 4 Typical daily primary frequency regulation power instruction

在MATLAB/Simulink平台搭建飞轮储能耦合火电机组一次调频仿真模型。由于粒子群求解算法每次结果不同,但在容量优化配置框架设定的约束条件下,每次求解的配置结果相差不大,因此本文在求解储能容量配置结果时,在相同场景和约束条件下计算10次,并取平均值作为最终的优化结果,最终得出最佳飞轮储能容量配置方案,对不同控制策略下容量配置结果开展灵敏度分析。

3.2 参数设置

火-储耦合模型相关参数设置如表1所示。约束条件参数设置为最大额定功率10 MW,最大额定容量0.5 MW·h。粒子群算法参数设置为c1c2ω分别取1.4,1.4,0.8,总粒子群数为200,空间维度为2,迭代次数为50。

表1 火-储耦合模型参数

Table 1 TPU-FES coupled model parameters

模型参数设定值单位功率成本/(万元·MW-1)125单位容量成本(万元·(MW·h)-1)2500单位容量维护成本(万元·(MW·h)-1)6单位功率维护成本(万元·MW-1)1飞轮储能寿命周期/a20火电机组容量/MW350一次调频出清单价(元·(MW·h)-1)333充放电效率/%95贴现率0.05单位电量SO2排出量/(kg·(MW·h)-1)0.4278单位电量NOx排出量/(kg·(MW·h)-1)3.8030单位电量脱硫成本/(万元·(MW·h)-1)0.0006单位电量脱硝成本/(万元·(MW·h)-1)0.0008

3.3 容量配置结果分析

本文策略下,最优容量配置结果下火-储耦合系统的功率指令分配结果如图5所示。

图5 火-储耦合系统功率指令

Figure 5 Power instruction of the TPU-FES coupled system

采用典型的自适应协同下垂控制手段作为对照组,得到两种控制策略下飞轮储能容量配置结果如表2所示。由表2可知,相较于传统自适应协同下垂策略,本文所提策略容量配置下,总体经济收益提升15.09%,在初始投资成本更高的情况下,投资回收年限依然缩短13.14%,本文策略配置轮储能容量配置更小,飞轮储能充放电时间缩短5.84%。因为本文策略在指令分配的基础上,考虑了飞轮储能SOC的影响,通过飞轮储能SOC动态管理,降低储能系统容量和充放电时间需求的同时也提高了火-储耦合系统的调频性能。

表2 飞轮储能容量配置结果

Table 2 Flywheel energy storage capacity configuration result

控制策略飞轮功率/MW飞轮容量/(MW·h)充放电时间/min全生命周期成本/万元调频经济收益/(万元·a-1)总体经济收益/(万元·a-1)全生命周期经济收益/万元投资回收年限/a自适应下垂4.0320.2012.911096.738236.427239.6324792.644.72本文策略4.2880.1962.741131.464271.032275.7935515.854.1

3.4 调频效果对比

在3.3节容量配置结果下,开展火-储耦合系统在两种控制策略下的仿真实验,得到火-储耦合系统的频率偏差如图6所示,飞轮储能SOC如图7所示,并计算一次调频性能指标如表3所示。

表3 一次调频性能

Table 3 Primary frequency modulation performance

控制策略系统频率偏差/Hz峰值标准差积分电量指标/%自适应协同下垂0.04150.042876.636本文策略0.04130.032981.217

图6 火-储耦合系统的频率偏差

Figure 6 Frequency deviation of the TPU-FES coupled system

图7 飞轮SOC曲线

Figure 7 SOC curve of the FES

由图6和表3可知,相较于自适应协同下垂控制,本文所提策略的火-储耦合系统的频率偏差峰值下降了0.000 2 Hz,标准差降低了0.009 9 Hz,有效提升了系统的频率稳定性。从图7可以看出,本文策略的飞轮储能系统在面对SOC越限情况时,能进行SOC动态管理,当SOC达到上限0.9或下限0.1时,飞轮储能通过SOC动态自恢复,保证面对长时间充放电指令时的电量需求。由表3可知,在加入储能SOC动态管理后,本文策略的飞轮储能出力积分电量指标较自适应协同下垂策略提升4.581百分点,更大限度地发挥飞轮储能系统的调频性能。

3.5 灵敏度分析

3.5.1 初始投资成本系数

目前市面上飞轮储能系统成本仍然较高,高昂的价格增加了初始投资成本和运维成本,降低了该储能技术参与电网频率支撑的性价比。随着技术迭代和市场竞争,飞轮储能技术的成本会逐渐降低[19]。分析在本文的飞轮储能单价的基础上,降低储能功率、容量单价对容量配置结果的影响,如表4所示。

表4 不同储能单价容量配置结果

Table 4 Capacity configuration results of different energy storage unit prices

成本系数变化量/%Prated/MWErated/(MW·h)全生命周期成本/万元总收益/(万元·a-1)投资回收年限/a04.2880.1961131.464275.7934.10-104.2910.1991039.360290.3243.58-204.2940.1991039.738300.5023.46-304.3160.2071062.558301.0083.53

由表4可知,随着储能系统功率、容量单价的降低,在相同的调频场景下,飞轮储能系统的容量配置结果有所提高,项目投资的总收益有所提升,投资回收年限随成本下降有减少的趋势,但单位成本下降到30%时,投资回收年限因为总体投资成本的提高有所增加。

3.5.2 电量贡献指数考核指标

在一次调频仿真分析过程中,电量贡献指数的大小对一次调频合格率和收益有很大的影响。本文参考《两个细则》要求,电量贡献指数设置为70%,由于电网频率安全性需求随着新能源大规模并网而增大,作为考核指标的电量贡献指数的合格标准也可能进一步提高,不同电量贡献指数下飞轮的容量配置结果如表5所示。

表5 不同积分电量指标容量配置结果

Table 5 Capacity configuration results of different integral power indices

电量贡献指数/%Prated/MWErated/(MW·h)全生命周期成本/万元总收益/(万元·a-1)投资回收年限/a909.5920.8463328.668417.9727.96807.2880.6412524.634386.6716.53704.2880.1961131.464275.7934.10602.9880.149749.882198.1373.78

随着电量贡献指数增大,对储能系统调频要求升高,飞轮储能系统的容量配置会随其增大而大幅增大。由表5可知,当电量贡献指数高于当前值70%时,投资回收年限大幅提升;当电量贡献指数低于70%时,储能系统的配置结果减少,全生命周期成本进一步降低,一次调频的收益也随之减小,储能系统的投资回收年限也降低了7.8%。

3.5.3 新能源渗透率

预计2060年之前,中国新能源发电量占比有望超过50%[20],大规模新能源并网导致系统惯量水平降低,调频需求增大,频率稳定性和安全性变得尤为重要[21]。现分析在3.1节调频场景基础上,扩大一次调频功率需求对容量配置结果的影响(设定3.1节调频场景下一次调频功率需求为Pδ)。容量配置结果如表6所示。

表6 不同新能源渗透率容量配置结果

Table 6 Capacity configuration results of different renewable energy penetration rates

新能源渗透率Prated/MWErated/(MW·h)全生命周期成本/万元总收益/(万元·a-1)投资回年期限/aPδ4.2880.1961131.464275.7934.101.5Pδ5.0160.2381228.444324.5313.792Pδ6.2170.3521665.454404.4394.122.5Pδ8.5020.4332156.350582.8743.70

由表6可知,飞轮储能系统的容量配置随着一次调频功率需求提高而增大。综合上述分析,随着新能源渗透率的逐年提升,对电力系统频率主动支撑需求越来越大,需要更多发电单元参与调频。对于市场而言,储能技术的发展带来的成本降低和性能提升,以及区域电网的政策激励,都有利于更多储能系统参与电网一次调频,以应对新能源并网带来的频率波动。

4 结论

针对火-储耦合系统参与电网一次调频的控制策略和容量配置两个关键问题,本文提出了一种火-储耦合一次调频控制策略与容量配置协同优化方案,所提方案在改善电网频率稳定性的同时提高了电厂的调频性能和经济收益,结论如下。

(1)本文协同优化框架下配置的飞轮功率为4.288 MW,飞轮储能容量为0.196 MW·h,额定功率充放电时间为2.74 min,投资回收年限为4.1 a,相比传统自适应协同下垂控制,投资回收年限缩短了13.14%,全生命周期总体经济收益提升15.09%。

(2)本文控制策略在充分发挥飞轮快速充放电优势的同时兼顾了飞轮储能实时储能荷电状态的动态管理。相比传统自适应协同下垂控制,频率偏差的标准差下降了降低了0.009 9 Hz,积分电量指标提升了4.581百分点。

(3)随着储能单价的降低,系统投资回收年限降低,成本下降至30%时,由于系统收益基本饱和,投资回收年限略有回升;当电量贡献指数高于70%时,为了满足更加严苛的调频要求,储能配置的容量增大,初始投资成本提高,投资回收年限大幅增加。

(4)随着新能源渗透率的逐年提升,电力系统频率主动支撑需求逐渐增大,飞轮储能的容量配置结果也随之增大。因此飞轮储能作为提升发电侧频率主动支撑能力的有效解决方案,未来具有广阔的应用市场和投资价值。

参考文献:

[1] 刘吉臻,王庆华,张效宁,等.支撑我国能源转型的灵活燃煤发电新技术:燃煤耦合储能系统及智能控制系统[J].中国电机工程学报,2024,44(17):6855-6883.LIU J Z,WANG Q H,ZHANG X N,et al.Novel technologies of flexible coal-fired power generation to support China energy transition:coal-fired coupled energy storage system and smart control system[J].Proceedings of the CSEE,2024,44(17):6855-6883.

[2] 王珠,刘明,赵永亮,等.耦合相变储能的火电机组集成系统控制策略优化及效果分析[J].中国电机工程学报,2024,44(18):7235-7247.WANG Z,LIU M,ZHAO Y L,et al.Control optimization and effect analysis of the integrated system for thermal power units coupled with phase-change energy storage[J].Proceedings of the CSEE,2024,44(18):7235-7247.

[3] 邢超,肖家杰,李培强,等.面向电网二次调频的多类型储能集成控制策略及经济性评估[J].储能科学与技术,2023,12(10):3265-3274.XING C,XIAO J J.LI P Q,et al.Integrated control strategy and economic evaluation of multi-type energy storage for power grid secondary frequency modulation[J].Energy Storage Science and Technology,2023,12(10):3265-3274.

[4] 梁志宏,刘吉臻,洪烽,等.电力级大功率飞轮储能系统耦合火电机组调频技术研究及工程应用[J].中国电机工程学报,2024,44(21):8518-8531.LIANG Z H,LIU J Z,HONG F,et al.Research and engineering application of frequency modulation technology of power-level high-power flywheel energy storage system coupled with thermal power unit[J].Proceedings of the CSEE,2024,44(21):8518-8531.

[5] 王青山,李妍,张群,等.不同规模化机械储能技术在高比例可再生能源电力系统中应用的比较分析[J].储能科学与技术,2025,14(2):854-867.WANG Q S,LI Y,ZHANG Q,et al.A comparative analysis for various scaled mechanical energy storage technologies applied to power systems with a high share of renewable energy sources[J].Energy Storage Science and Technology,2025,14(2):854-867.

[6] 何林轩,李文艳.飞轮储能辅助火电机组一次调频过程仿真分析[J].储能科学与技术,2021,10(5):1679-1686.HE L X,LI W Y.Simulation of the primary frequency modulation process of thermal power units with the auxiliary of flywheel energy storage[J].Energy Storage Science and Technology,2021,10(5):1679-1686.

[7] 代本谦,兀鹏越,王海波,等.飞轮储能辅助火电一次调频技术与应用[J].热力发电,2024,53(3):81-88.DAI B Q,WU P Y,WANG H B,et al.Primary frequency modulation technology of flywheel energy storage assisted thermal power plant[J].Thermal Power Generation,2024,53(3):81-88.

[8] MARZEBALI M H,MAZIDI M,MOHITI M.An adaptive droop-based control strategy for fuel cell-battery hybrid energy storage system to support primary frequency in stand-alone microgrids[J].Journal of Energy Storage,2020,27:101127.

[9] 宋杰,耿林霄,桑永福,等.基于EMD分解的混合储能辅助火电机组一次调频容量规划[J].储能科学与技术,2023,12(2):496-503.SONG J,GENG L X,SANG Y F,et al.Study on primary frequency modulation capacity planning of thermal power unit assisted by hybrid energy storage based on EMD decomposition[J].Energy Storage Science and Technology,2023,12(2):496-503.

[10] 罗耀东,田立军,王垚,等.飞轮储能参与电网一次调频协调控制策略与容量优化配置[J].电力系统自动化,2022,46(9):71-82.LUO Y D,TIAN L J,WANG Y,et al.Coordinated control strategy and optimal capacity configuration for flywheel energy storage participating in primary frequency regulation of power grid[J].Automation of Electric Power Systems,2022,46(9):71-82.

[11] 李军徽,侯涛,严干贵,等.计及调频成本和荷电状态恢复的多储能系统调频功率双层优化[J].中国电机工程学报,2021,41(23):8020-8033.LI J H,HOU T,YAN G G,et al.Two-layer optimization of frequency modulation power in multi-battery energy storage system considering frequency modulation cost and recovery of state of charge[J].Proceedings of the CSEE,2021,41(23):8020-8033.

[12] 李翠萍,司文博,李军徽,等.基于集合经验模态分解和多目标遗传算法的火-多储系统调频功率双层优化[J].电工技术学报,2024,39(7):2017-2032.LI C P,SI W B,LI J H,et al.Two-layer optimization of frequency modulated power of thermal generation and multi-storage system based on ensemble empirical mode decomposition and multi-objective genetic algorithm[J].Transactions of China Electrotechnical Society,2024,39(7):2017-2032.

[13] 洪烽,杜浩,梁璐,等.基于模态匹配的飞轮/锂电混合储能辅助火电AGC控制策略及应用[J/OL].中国电机工程学报.(2025-07-25).https:∥link.cnki.net/doi/10.13334/j.0258-8013.pcsee.242660.HONG F,DU H,LIANG L,et al.Flywheel/lithium hybrid energy storage assisted thermal power AGC control strategy and application based on mode matching[J/OL].Proceedings of the CSEE.(2025-07-25).https:∥link.cnki.net/doi/10.13334/j.0258-8013.pcsee.242660.

[14] 严晓生,刘仲稳,赵建红,等.混合储能辅助火电机组一次调频及其容量配置[J].太阳能学报,2024,45(11):647-654.YAN X S,LIU Z W,ZHAO J H,et al.Primary frequency regulation and capacity configuration of hybrid energy storage auxiliary thermal power unit[J].Acta Energiae Solaris Sinica,2024,45(11):647-654.

[15] 洪烽,贾欣怡,梁璐,等.火-储耦合协同调频策略下飞轮储能容量配置一体化研究[J].热力发电,2023,52(9):65-75.HONG F,JIA X Y,LIANG L,et al.Research on integration of flywheel energy storage capacity configuration under fire-storage coupling coordinated frequency modulation strategy[J].Thermal Power Generation,2023,52(9):65-75.

[16] 国家能源局华中监管局.华中区域电力辅助服务管理实施细则[EB/OL].(2025-04-15)[2025-04-15].https:∥hzj.nea.gov.cn/dtyw/tzgg/202504/P0202504156 03202936325.pdf.Central China Energy Regulatory Bureau of National Energy Administratior of the People′s Republic of China.Detailed rules for the management of power auxiliary services in Central China region[EB/OL].(2025-04-15)[2025-04-15].https:∥hzj.nea.gov.cn/dtyw/tzgg/202504/P020250415603202936325.pdf.

[17] 陈彪,王玮,高嵩,等.计及灵活经济环保运行的火电-飞轮储能系统容量配置与调频参数协同优化[J].动力工程学报,2024,44(3):376-384.CHEN B,WANG W,GAO S,et al.Co-optimization of capacity allocation and frequency control parameters for thermal power-flywheel energy storage system considering flexible,economical and environment friendly operation[J].Journal of Chinese Society of Power Engineering,2024,44(3):376-384.

[18] 肖厦颖,范传光,郭峰,等.基于改进多目标粒子群算法的储能电站定容选址优化配置研究[J].储能科学与技术,2024,13(2):503-514.XIAO X Y,FAN C G,GUO F,et al.Optimal allocation of energy storage power station based on improved multi-objective particle swarm optimization[J].Energy Storage Science and Technology,2024,13(2):503-514.

[19] 张剑云,李明节.新能源高渗透的电力系统频率特性分析[J].中国电机工程学报,2020,40(11):3498-3507.ZHANG J Y,LI M J.Analysis of the frequency characteristic of the power systems highly penetrated by new energy generation[J].Proceedings of the CSEE,2020,40(11):3498-3507.

[20] 王明东,杨岙迪,李龙好,等.基于VSG下垂优化控制的新能源电力系统惯性提升[J].郑州大学学报(工学版),2024,45(3):127-133.WANG M D,YANG A D,LI L H,et al.Inertia lifting of new energy power system based on VSG droop optimal control[J].Journal of Zhengzhou University (Engineering Science),2024,45(3):127-133.

[21] 洪晗笑,吴晨曦,倪索引.考虑频率-惯量安全约束的新型电力系统优化调度[J].电力自动化设备,2024,44(8):176-184.HONG H X,WU C X,NI S Y.Optimal scheduling of new-type power system considering frequency-inertia security constraints[J].Electric Power Automation Equipment,2024,44(8):176-184.

Coordinated Optimization of Primary Frequency Regulation Control Strategy and Capacity Configuration for Thermal Power Unit-Flywheel Energy Storage Coupled System

ZHANG Guobin1,ZHOU Lei1,GUO Ruijun1,DANG Shaojia1,WEI Kuanchang2,LIANG Lu2,HONG Feng2

(1.Inner Mongolia Electric Power Research Institute,Inner Mongolia Power (Group) Co.,Ltd.,Hohhot 010020,China; 2.School of Control and Computer Engineering,North China Electric Power University,Beijing 102206,China)

AbstractTo address the key challenges in control strategy and capacity configuration design for flywheel energy storage (FES) coupled with thermal power unit (TPU) in primary frequency regulation,a coordinated optimization of primary frequency regulation control strategy and capacity configuration for TPU-FES coupled system considered state of charge (SOC) management was proposed.Firstly,a dynamic control strategy was developed for the TPU-FES coupled system,which considered the SOC management of FES.Secondly,an economic evaluation model was established,which comprehensively considered primary frequency regulation performance,life-cycle cost,and economic benefit.On this basis,a coordinated optimization method for control strategy and capacity configuration was constructed and solved using the particle swarm optimization algorithm.Finally,a case study based on the typical daily frequency regulation data from a real 350 MW double-reheat TPU were conducted to validate the simulation results,along with the sensitivity analysis of key parameters.The results demonstrated that the proposed method significantly enhanced both frequency regulation performance and economic benefits.Specifically,the life-cycle economic benefit of the FES increased by 15.09%; the investment payback period was reduced by 13.14%; and the effectiveness of the proposed coordinated optimization method was proved.

Keywordsflywheel energy storage; primary frequency regulation; capacity configuration; control strategy; coordinated optimization

中图分类号:TK02;TM621;TM91

文献标志码:A

doi:10.13705/j.issn.1671-6833.2026.01.003

收稿日期:2025-04-18;修订日期:2025-07-28

基金项目:内蒙古电力(集团)有限责任公司2024年度科技项目(2024-4-43);国家自然科学基金资助项目(52376007)

作者简介:张国斌(1972—),男,内蒙古包头人,内蒙古电力(集团)有限责任公司正高级工程师,主要从事热工自动化与网源协调控制研究,E-mail:zgb7230@163.com。

通信作者:洪烽(1991—),男,浙江绍兴人,华北电力大学副教授,博士,博士生导师,主要从事面向联合调频的新型储能-发电系统优化配置与协调控制研究,E-mail:hongf@ncepu.edu.cn。

引用本文:张国斌,周磊,郭瑞君,等.火-储耦合系统一次调频控制策略与容量配置协同优化[J].郑州大学学报(工学版),2026,47(1):131-139.(ZHANG G B,ZHOU L,GUO R J,et al.Coordinated optimization of primary frequency regulation control strategy and capacity configuration for thermal power unit-flywheel energy storage coupled system[J].Journal of Zhengzhou University (Engineering Science),2026,47(1):131-139.)

文章编号:1671-6833(2026)01-0131-09