计及氢储能电站服务的热电联供型微网优化调度

李红伟, 刘玲园, 丁 宁, 任 诚

(西南石油大学 电气信息学院,四川 成都 610500)

摘 要: 为实现微网和氢储能电站之间的双赢,构建了一种计及氢储能电站服务并考虑需求响应和热电联供(combined heat and power,CHP)型微网。所建系统将电、热、氢能结合起来,实现三者能量的相互转换,并进一步引入余热回收以有效提高能量利用。在此基础上,建立考虑两个优化问题的双层规划模型,上层模型研究氢储能电站优化问题,以氢储能电站总运行成本最低为目标;下层模型分析基于氢储能电站的微网系统优化运行模型,以热电联供型微网总运行成本最低为目标进行优化研究。运用拉格朗日方法并基于KKT条件将下层目标转化为上层的约束条件,运用大M法将非线性规划问题转为混合整数线性规划问题求解。分析了价格型、替代型负荷占比对于系统的影响,选择合适的占比实现系统收益的最大化。结合冬夏两个典型季节的特点,设置了3种场景进行对比分析,结果验证了该模型的可行性和有效性,在合理调整需求响应负荷占比后,降低了运行成本,经济性更好。

关键词:热电联供; 需求响应; 氢储能电站; 双层规划; 优化调度

热电联供型微电网作为一种新型的供能方案,能提高能源利用率,实现节能降碳,减少污染[1-2]。对此,研究者已经开展很多相关研究。崔杨等[3]提出一种计及需求响应后的综合能源系统优化调度方法,不同类型的需求响应占比不同会导致不同运行结果,通过优化能提高风电并网消纳率。章健等[4]考虑需求响应提出了一种电压无功协调优化的方法,提高了可再生能源消纳率。钱仲豪等[5]针对电力系统呈多电源接入的趋势,提出多功率协调的双层优化模型,可使运行成本明显降低。高月芬等[6]建立包括碳交易的综合能源系统双层优化模型,实现了系统容量的优化配置,取得了更好的经济性。张荣达等[7]探究了氢储能模式的优缺点,通过电价差套利等方式实现收益,展示了良好的发展前景。闫东翔等[8]给出了共享储能的概念,通过签署储能租用服务的协议,可将空置的储能容量租赁给其他微网。吴梦凯等[9]建立了基于电氢储能背景下综合能源系统的双层优化调度运行模型,取得了较好的效益。但整体来讲,目前在储能电站运行服务模式上的研究尚处于起步阶段,在运行决策和商业模式上投入的研究相对较多,但针对储能电站与微网之间能量流动、运行成本以及考虑微网用户侧需求响应研究还相对较少[10]

此外,氢能作为一种清洁能源,开展热电氢耦合研究成为热点。李红伟等[11]考虑了电氢耦合设备并结合阶梯式碳交易,实现了风光更高的消纳,但没有考虑需求侧响应。吴盛军等[12]虽然考虑了电解槽制氢的特性,但是只是简单考虑了热电网和供热网络的系统中的运行成本问题。

基于上述问题,本文建立计及氢储能电站(hydrogen energy storage power station, HESPT)服务的热电联供型微网模型,并在此基础上,进一步研究了需求侧不同类型负荷占比在需求响应下对微网经济性的影响。模型采用双层优化配置,上下层采用不同优化目标设定,分析在光伏、风力发电等分布式电源作用下,热电联供型微电网优化调度问题,并结合仿真算例进行分析和验证,探究该模型的可行性和有效性。

1 参与氢储能电站(HESPT)的热电联供系统

1.1 热电联供型微网结构

计及氢储能电站服务的热电联供型微网结构如图1所示。系统包括风光分布式电源、CHP、热泵、燃气锅炉,以及氢储能电站。CHP包括余热锅炉、基于有机朗肯循环的低温余热发电装置以及燃气轮机组[13],氢储能电站参与微网实现电热流动调控,同时在需求侧引入需求响应调控来平抑负荷波动。

图1 计及氢储能电站服务的热电联供型微网结构图
Figure 1 Structure diagram of CHP based microgrid considering HESPT services

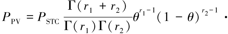
(1)光伏发电系统。考虑日照强度和温度等环境因素所带来的不确定性,光伏电池输出功率与太阳辐射的关系为

[1+kT(T-TSTC)]。

(1)

式中:Γ表示伽马函数;PSTC为标准测试条件下的额定功率;r1r2为两个反映日照强度分布偏斜程度的可调形状参数(调节不确定性);θ=G/Gmax为归一化的太阳辐照度,G为实际太阳辐照度,Gmax 为该时段的最大辐照度;kT为功率温度系数(通常为负值,表示温度升高功率下降);TTSTC分别为当前光伏组件工作温度和标准测试温度。

(2)风力发电系统。风电出力主要受风速影响,可表示为

(2)

式中:ρ表示空气密度,一般可取值为1.25 kg/m3;ν表示风轮机的风速;CP表示风能利用系数;R表示风轮机的半径[14]

(3)热电联供装置。该装置内部关系为

(3)

式中:分别为热电联供装置发电功率以及发热功率;分别为燃气轮机发电功率、发热功率以及低温余热装置发电功率;β为余热分配系数,表示将燃气轮机产出的热量分配给余热锅炉的占比;δ为分配给低温余热装置用以发电的占比;RWHBRORC分别为余热锅炉和低温余热装置热转换效率。

(4)燃气锅炉。燃气锅炉提供供暖和供热服务。

(4)

式中:QGB表示燃气锅炉热功率;ηGB为燃气锅炉制热效率;为消耗的天然气。

(5)热泵。由冷凝器(换热器)、压缩机、蒸发器和节流阀组成,作用是将电能转换为热能。

QHP=COP·PHP

(5)

式中:QHP为制热功率;COP为制热系数;PHP为热泵输入的电功率。

1.2 氢储能电站服务模式

一般用户侧储能投资成本大,回报时间长,导致用户投资积极性差。为探究氢储能在微网中的作用,本文考虑在微网中加入氢储能电站服务。简单来说,就是利用氢储能电站提供充放电服务,并收取服务费,进一步考虑电解槽和燃料电池存在热量产出,故也可实现热能供应。储能电站服务费是基于使用储能电站充放电的用户向储能电站所缴纳的费用,单位为元/kW·h。

(1)储能电站。在氢储能电站内设置储能电站调控中心,可查看目标用户的历史使用情况信息,凭借此信息合理计算出用户所需要的储能电站服务,协调电站的储能容量分配。通过与用户签署协议,并向其收取服务费用。

(2)氢储能电站使用用户。储能电站的目标用户可通过签署协议与氢储能电站方面取得合作,缴纳所需的服务费用,满足自身用电需求。对用户来说,不用承担氢储能电站投资及运行维护等费用,只需定期缴纳服务费,即可享受与储能电站之间的充放电(售购电)服务。

储能电站收益主要来自两部分:①与目标用户之间购售电差价;②向目标用户收取的服务费用,服务费用基于两者交互电能之和进行收取;③储能电站热能售卖收益。

2 氢储能电站结构及建模

氢储能电站结构如图2所示。氢作为一种清洁能源,把氢储能引入综合能源系统,可实现高效运行和提升风光消纳,也可解决风光发电与用电在时间与空间上不匹配的问题。同时,考虑目前氢能系统转换效率还较低,可合理利用燃料电池和电解槽工作时产生的热能来提高能源利用率。

图2 氢储能电站结构
Figure 2 Structure of HESPT

2.1 制氢电解槽

电解水制氢技术主要有3类:碱性水电解、高温蒸汽电解和质子交换膜纯水电解[15]。目前碱性水电解技术的应用更加广泛、更为成熟,因此本文以碱性电解槽进行建模分析。碱性电解槽运行时,产生电能的同时也产生热能,其能量平衡关系为

(6)

式中:分别为电解槽输入功率和输出功率;Qel为损失热量;ηel为电解槽制氢效率。

2.2 氢燃料电池

氢燃料电池是利用电解水逆反应转换为电能的发电装置[16],产电过程中也产生热能,能量平衡关系为

(7)

式中:分别表示电堆(由多个电池组成)输入总功率和输出电功率;Qfc表示电堆吸热功率和电堆空气散热损失热能;ηfc为氢燃料电池发电效率。

2.3 储氢罐

储氢罐用于储存氢气,存储状态可表示为

SOHC=psto/pN

(8)

式中:SOHC为储氢罐的储存状态(用压强比表示);psto为罐内的压强;pN为最大压强。

3 需求响应分析

传统需求响应一般采用价格信号激励用户主动改变用电习惯实现峰谷调节[17]。本文构建模型除了电负荷调节,还有热负荷参与,热力具有温度变化时滞性(从热源到用户通过管道传递,供热网传热有较长时延)。故将需求响应分为两部分:价格型和负荷替代型[18],具体见表1。根据各自负荷的特性进行建模。

表1 需求响应负荷类型及特点
Table 1 Type and characteristics of demand response load

类型特点价格型需求响应负荷可消减负荷 对比需求响应前后本时段电价变化,通过削减峰时负荷减小调度压力可转移负荷 可引导用户将高峰时段负荷转移到平谷时段,此种方式不改变调度周期内总电负荷替代型需求响应负荷 负荷由别的能源供应方式进行替代,本文中对某类可由热能或电能直接供应的热负荷而言,低电价时段用电供热,高电价时段可直接利用热能,实现电能和热能的相互替代

3.1 价格型需求响应

考虑到即使针对同一电价时,不同负荷类型响应的特性也并不相同,故将电负荷分为可削减负荷和可转移负荷[19]

对于可消减负荷,用价格需求弹性矩阵E(t,j)描述其需求响应特性,即

(9)

式中:et,j为弹性矩阵中第tj列的弹性系数;t时负荷初始值;为电价初始值;为需求响应后t时负荷变化量;Δcjj时电价变化量。

由此可得t时可消减负荷的变化量为

(10)

式中:ECL为弹性矩阵;为可消减的负荷初始值;cjj时电价。

对于可转移负荷,就是将高峰时刻的负荷转移到谷荷时段,移峰错谷。不同于可消减负荷,可转移负荷在总的调度周期负荷值不变。t时刻需求响应后的可转移负荷的变化量可表示为

(11)

式中:为可转移负荷t时初始值;ESL为可转移负荷价格需求响应矩阵。

3.2 替代型需求响应

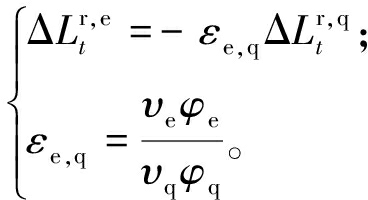
替代型需求响应是指负荷由别的能源供应替代,本文中考虑热电转换,即在电价低时利用电能产热,在高电价时直接采用热能满足自身需求。可替代负荷模型[19]

(12)

式中:εe,q为电热替代系数;υeφe分别为电能的单位热值以及能源利用率;分别为可替代的电负荷量和热负荷量;υqφq分别为热能的单位热值和能源利用率。

可替代负荷的上下限约束,可表示为

(13)

式中:分别为可替代负荷的上下限值;分别为所对应的热负荷的上下限值。

4 双层优化配置模型

本文建立双层规划模型实现优化调度,上层优化目标为氢储能电站运行成本最低,下层优化目标为热电联供型微网总运行成本最低。双层规划的上下两层都各自控制一部分决策变量,具有一定的独立性,但两者又有相互关联,且由于目标不同存在一定的冲突。一般上层决策优先,下层在服从上层决策的同时,也具有一定的自主权,从而保证上层和下层双方都能获得利益[20]

4.1 上层氢储能电站优化规划模型

4.1.1 目标函数

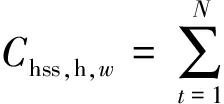
以氢储能电站总运行成本最低为目标,即

min f=

(14)

式中:Chss,b,wChss,s,wCin,w分别为氢储能电站向微网售电的费用、从微网购电的费用,以及运行和维护成本;Cserve,w为微网向氢储能电站缴纳的服务费用;Chss,h,w为氢储能电站卖出热能的收益;W为典型日;Tw为第w个典型日对应天数,设定为91。

式(14)中各参量可以进一步表示为

(15)

式中:ηP,tηS,t为功率成本和容量成本;为最大储放氢功率和最大容量;Mhss,t为日维护成本;T为预期的使用天数。

(16)

式中:α(t)、Phss,s,w分别为t时刻氢储能电站从微网购电电价和购电功率;Δt为调度时段划分。

(17)

式中:δ(t)、Phss,b,w分别为氢储能电站向微网售电电价和销售功率。

(18)

式中:σ(t)为t时刻服务费的价格。

(tQhss,w(t)·Δt

(19)

式中:(t)为时刻t热能的价格;Qhss,w为氢储能向微网销售的热功率。

4.1.2 约束条件

氢储能单元约束为

(20)

式中:lohmaxlohmin分别为储氢状态上、下限;分别为燃料电池功率上、下限;分别为电解槽功率上、下限;Phy为氢能系统在时刻t的产电功率;afcael分别为燃料电池、电解槽的工作标志位,取0或1。

4.2 下层微网系统运行优化模型

4.2.1 下层目标函数

以热电联供型微网总运行成本最低,即

Chss,b,w-Chss,s,w+Cserve,w+Chss,h,w)。

(21)

式中:Cbuy,w为微网从电网购电费用;Cful,w为微网中消耗的燃料费用;Ccom,w为运维成本。

式(21)中各参量可以进一步表示为

(22)

式中:pbg(t)为t时刻电网向微网售电电价;Pbuyt时刻微网从电网购电功率。

(23)

式中:Cgas为燃气的单位体积价格,元/m3;PGT,w为燃气轮机在t时刻的输出功率;ηGT为燃气轮机的发电效率;QGB,w为燃气锅炉在t时刻的输出热功率;QGB,w为燃气锅炉的效率。

(24)

式中:i取 1,2,…,6分别代表热泵、风机、光伏、燃气轮机、燃气锅炉、余热锅炉;ωi为设备i的运维系数;Pi,t为设备i的出力。

4.2.2 下层模型的约束条件

(1)电功率平衡约束。

Pbuy,w(t)+PW,w(t)+PPV,w(t)+ηGTPGT,w+PORC,w(t)+PHbuy,w(t)-

PHsell,w(t)-PHP,w(t)=Pload,w(t)。

(25)

式中:PW,wPPV,wPORC,wPHP,wPload,w分别为t时刻风机发电出力、光伏发电出力、低温余热发电装置发出功率、热泵输入功率和电负荷;PHbuy,wPHsell,w分别为t时刻微网从氢储能电站购电功率和微网向氢储能电站售电功率。

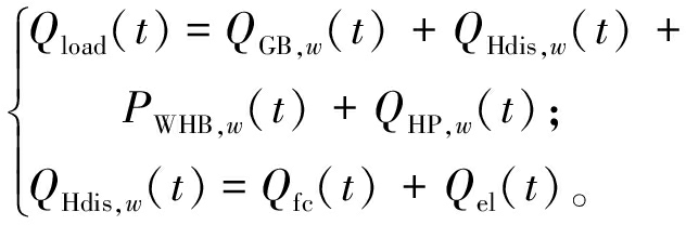
(2)热功率平衡约束。

(26)

式中:QHdis,wQfcQel分别为t时刻氢储能电站传输给微网的热功率以及燃料电池和电解槽释放的热功率;PWHB,wQHP,wQload分别为t时刻余热锅炉输出功率、热泵产热功率和热负荷。

(3)余热锅炉平衡约束。

PWHB,w(t)-QGT,w(trWHB·a=0。

(27)

式中:QGT,wt时燃气轮机输出的热功率;rWHB为余热锅炉的热回收效率;a为分配系数。

(4)余热装置约束。

PORC,w(t)-QGT,w(trORC·(1-a)=0。

(28)

式中:rORC为余热装置的热回收效率。

(5)微网与氢储能电站的平衡约束。

PHbuy,w(t)-PHsell,w(t)=Pfc(t)-Pel(t)。

(29)

(6)氢储能电站与微网之间的功率约束。

(30)

式中:为最大交互电功率;Ubuy,wUsale,w分别为氢储能电站充放电状态。

(7)微网从电网购电的上下限约束。

(31)

式中:为微网从电网购电的最大功率。

另外,风机、光伏、燃气轮机、燃气锅炉、余热锅炉等的电功率或热功率也有上下限值约束。

4.3 求解方法

双层规划模型求解步骤如图3所示,因为存在非线性约束以及上下层存在耦合,难以直接求解。首先通过构建下层模型的拉格朗日函数并结合KKT条件,将下层目标转化为上层的约束条件;然后结合大M法将非线性规划问题转化为混合整数线性规划问题求解[20-21]。本文后续算例中,通过MATLAB平台调用CPLEX和YALMIP实现该优化的求解。

图3 双层规划模型求解步骤
Figure 3 Two-layer planning model solution steps

5 算例分析

5.1 某园区基础数据

以某园区热电联供型微网为对象,并引入氢储能电站,以24 h为一个运行周期选取典型日,天数为91 d,夏冬两季微网光伏风电预测出力以及电热负荷预测数据分别见图4和图5,部分设备参数见表2。天然气价格取2.55元/m3,微网与氢储能电站间购售电电价如图6所示,微网支付氢储能电站服务费单价为0.05元/(kW·h)。

表2 部分设备参数
Table 2 Parameters of equipments

设备参数名称参数数值GT(燃气轮机)安装功率/kW4 000电效率0.3热效率0.4GB(燃气锅炉)安装功率/kW1 000效率0.9WHB(余热锅炉)效率0.8HP(热泵)安装功率/kW400基于ORC的低温余热装置 安装功率/kW400效率0.8

图4 夏季微网光伏风电预测出力以及热电负荷
Figure 4 Forecast output powers of PV and wind, electrothermal load of microgrid in summer

图5 冬季微网光伏风机预测出力以及电热负荷
Figure 5 Forecast output powers of PV and wind, electrothermal load of microgrid in winter

图6 不同时刻电价
Figure 6 Electricity prices at different time

本文考虑设置3个场景:

(1)场景1:热电联供型微网不配置储能,独立运行,当电能不足时从电网购电。

(2)场景2:在场景1的基础上考虑需求响应。

(3)场景3:在场景2的基础上配置氢储能电站服务。

5.2 不计及氢储能电站时优化结果分析

5.2.1 关于需求响应的影响分析

以夏季为例,从图4中可以看到夏季光照较为强烈,风力资源相对平均。夏季热负荷需求较少,午时最少,而用电需求则相反,用电需求大,中午最热的时候需求更大。设定电负荷的固定、可转移、可消减、可替代负荷占比50%,30%,15%,5%;热负荷的固定、可转移、可消减、可替代负荷占比50%,20%,20%,10%。场景1以及加入了需求响应的场景2的电热负荷构成如图7所示。由图7可知,时间段9: 00—12: 00和19: 00—22: 00属于电价高的阶段。在这两个时段,场景2考虑需求响应后,消减了部分负荷并转移至低电价时段,从热负荷曲线可以看出,在高电价时段将部分的电负荷转化为了热负荷,低电价时段将部分热负荷转化为了电负荷,实现了热电两种类型的需求响应相互合作和协调。

图7 场景1和场景2的电热负荷曲线对比
Figure 7 Comparison of electrothermal load curves in scenarios 1 and 2

针对场景2,分析不同型需求响应对运行总成本的影响,分为两部分进行。

(1)可替代型负荷占比5%保持不变,研究价格型即可消减、可转移负荷占比对结果的影响。设置可消减和可转移负荷之比为1∶2,保持比例不变,改变两者在总的负荷占比从10%到43%变化,结果如图8所示。从图8可以看出,随着价格型负荷占比的提升,场景2下微网的运行总成本逐渐下降,呈负相关性。原因较明显,增大价格型负荷占比能减少或转移高峰电价时段用电负荷,并调整到低电价时段。即通过负荷消减和转移降低了购能成本,实现了总运行成本降低。

图8 价格型需求响应负荷占比对场景2总运行成本的影响
Figure 8 Impact on the total operating cost of the price-based demand response load ratio in scenario 2

(2)保持价格型负荷占比不变,研究可替代型负荷对于运行总成本的影响。设置可消减和可转移负荷占比分别为15%和30%,改变可替代型负荷占比为9%~19%,结果如图9所示。从图9可以看出,在9%~19%内,场景2的总运行成本随着替代型负荷占比的提升而升高,呈现正相关性。这是因为替代性负荷占比的增加会导致制热设备的运行和维护成本等费用的增加,超过了节省的电费导致总成本的升高。

图9 替代型需求响应负荷占比对场景2总运行成本的影响
Figure 9 Impact on the total operating cost of the alternative demand response load ratio in scenario 2

综上,若合理地协调替代型和价格型需求响应的比例,实现系统用能的灵活性,可以降低系统总运行成本,实现系统的低碳经济运行。

5.2.2 计及氢储能电站时优化结果分析

先以夏季为例,场景3的电热负荷平衡如图10所示。图10及图11中,图标Ppv为光伏发电功率;PW为 风力发电功率;EGT为燃气轮机发电功率;PORC为低温余热装置发电功率;Pbuy为从电网购电功率;PHbuy为从储能电站购电功率;PHsell为向储能电站售电功率;PHP为热泵消耗电功率;Pload为电负荷;QGB为燃气锅炉供热功率;QHdis为储能电站输出热功率;PWHB为余热锅炉输出热功率;QHP为热泵产热功率;Qload为热负荷。早间电价便宜时,从电网购电并出售给氢储能电站制氢,以氢能的形式存储在储氢罐。在中午光伏发电和风力发电占据主力,不足的从氢储能电站购入。在夜间热负荷需求相对白天增大,主要由热泵、余热锅炉、氢储能电站共同满足,因为这时电负荷需求不大,可以从氢储能电站购买电能,节约成本。

图10 场景3下微网夏季电热负荷平衡
Figure 10 The summer electrothermal load balances of the microgrid in scenario 3

图11 场景3下微网在冬季的电热负荷平衡
Figure 11 The winter electrothermal load balances of the micro-grid in scenario 3

再以冬季为例,从图5可以看到,相比于天气炎热的夏季,冬季光伏出力少,风力资源相对丰富,夜间风力资源更多,同时冬季热负荷需求上升。场景3下微网在冬季的电热负荷平衡如图11所示。由于风力丰富,电负荷主要来自风电,同时还有燃气轮机、光伏发电、低温余热发电装置。在电价低时,从电网购入电能用于氢储能电站制氢和用于热泵供热。除了热泵、氢储能电站、余热锅炉提供热负荷以外,燃气锅炉也可以提供热能。

在场景3下,夏冬两季氢储能电站与微网的交互功率对比如图12所示,其中纵坐标为正时表示微网从储能电站购入功率;若为负表示微网向储能电站输入功率。夏季最大交互功率为3 697 kW,冬季最大交互功率为4 000 kW,不同的季度购售时间存在不同。两个季度在早间2:00—7:00之间电力负荷需求相对较少,且电价较低,微网多售电给氢储能电站用以制氢,之后时段用电负荷提升,微网从氢储能电站购入电力以满足电负荷需求,并提升经济性。

图12 场景3下夏冬两季氢储能电站与微网的交互功率对比
Figure 12 The summer and winter interactive powers compare between HESPT and micro-grid in scenario 3

5.2.3 各场景下的经济效益对比分析

这里以冬季为例,分析3种场景的微网的季度运行总成本以及利润,见表3。

表3 冬季各场景下总运行成本及利润
Table 3 Total operating costs and profits in each scenario in winter

场景微网季度总运行成本/万元微网利润/万元氢储能电站利润/万元1291.1358.4—2275.9399.8—3274.1401.680.4

由表3可知,场景1为独立运行的微网,运行结果得到微网在冬季的总运行成本为291.1万元,微网收益为358.4万元。场景2加了需求响应后总运行成本下降为275.9万元,微网收益增加到399.8万元。可见,通过调整需求响应各负荷占比,可明显降低微网总的运行成本,提升微网的利润。场景3为考虑需求响应并计及氢储能电站服务的情景,与场景2对比,总运行成本进一步降低为274.1万元,利润也高于场景2为401.6万元,同时氢储能电站也获得80.4万元利润。可见,计及氢储能电站服务并调整需求响应占比之后,利用在低电价时售电给氢储能电站制氢和产热,并在高峰电价时用于从氢储能电站购电,可以减少从电网购电或者其他设备发电的成本,结合氢能电站的供热,实现了不同时刻下电热互补,降低了运行成本,提高了系统利润,实现了微网与氢储能电站两者共赢。但因目前电-氢转换成本较高,对微网来讲,场景3比场景2提升的经济效益不大,但随着技术进步,未来的电-氢转换效率进一步提升和成本大幅下降,可望获得更好的经济效益。

6 结论

(1)计及需求响应和氢储能电站服务,热电联供型微网系统可降低运行成本,提升利润。

(2)考虑需求响应实现了高低电价时段负荷的转移,并通过消减部分负荷用能,灵活选择购能方式,提升了系统的运行经济性。

(3)根据两种需求响应负荷的特点,通过调整价格型和替代型负荷占比可有效节约成本。

参考文献:

[1] 李奇, 邹雪俐, 蒲雨辰, 等. 基于氢储能的热电联供型微电网优化调度方法[J]. 西南交通大学学报, 2023(1): 9-21.LI Q, ZOU X L, PU Y C, et al. Optimal schedule of combined heat-power microgrid based on hydrogen energy storage[J]. Journal of Southwest Jiaotong University, 2023(1): 9-21.

[2] 包广清, 王建辉. 考虑电转气-碳捕集-氢燃料电池的“以气定热”整体建模与优化[J]. 电力自动化设备, 2023, 43(12): 37-44,76.BAO G Q, WANG J H. Holistic modeling and optimization of "setting heat with gas" considering power-to-gas, carbon capture and hydrogen fuel cell[J]. Electric Power Automation Equipment, 2023, 43(12): 37-44,76.

[3] 崔杨, 修志坚, 刘闯, 等. 计及需求响应与火-储深度调峰定价策略的电力系统双层优化调度[J]. 中国电机工程学报, 2021, 41(13): 4403-4414.CUI Y, XIU Z J, LIU C, et al. Dual level optimal dispatch of power system considering demand response and pricing strategy on deep peak regulation[J]. Proceedings of the CSEE, 2021, 41(13): 4403-4414.

[4] 章健, 张玉晓, 熊壮壮, 等. 计及DR的新能源配电网电压无功协调优化[J]. 郑州大学学报(工学版), 2020, 41(2): 61-66.ZHANG J, ZHANG Y X, XIONG Z Z, et al. Voltage reactive power coordination optimization of distributed new energy network considering DR[J]. Journal of Zhengzhou University (Engineering Science), 2020, 41(2): 61-66.

[5] 钱仲豪, 胡骏, 沈思辰, 等. 考虑条件风险价值的多源协调优化运行策略[J]. 发电技术, 2023, 44(6): 781-789.QIAN Z H, HU J, SHEN S C, et al. Multi-power coordinated optimization operation strategy considering conditional value at risk[J]. Power Generation Technology, 2023, 44(6): 781-789.

[6] 高月芬, 孔凡鹏, 贠成博, 等. 考虑生命周期碳排放的综合能源系统容量配置优化[J]. 热能动力工程, 2024, 39(9): 71-79.GAO Y F, KONG F P, YUN C B, et al. Optimization of capacity allocation of integrated energy system considering life cycle carbon emissions[J]. Journal of Engineering for Thermal Energy and Power, 2024, 39(9): 71-79.

[7] 张荣达, 张庆斌, 高睿. 氢储能电站运营的模式优选与激励机制[J]. 西南石油大学学报(社会科学版), 2024, 26(3): 9-17.ZHANG R D, ZHANG Q B, GAO R. Operation mode optimization and incentive mechanism of hydrogen energy storage power station[J]. Journal of Southwest Petroleum University (Social Sciences Edition), 2024, 26(3): 9-17.

[8] 闫东翔, 陈玥. 共享储能商业模式和定价机制研究综述[J]. 电力系统自动化, 2022, 46(23): 178-191.YAN D X, CHEN Y. Review on business model and pricing mechanism for shared energy storage[J]. Automation of Electric Power Systems, 2022, 46(23): 178-191.

[9] 吴梦凯, 施进平, 王凯, 等. 碳市场下计及电-氢储能的综合能源系统需求响应策略[J]. 现代电力, 2023, 40(6): 947-956.WU M K, SHI J P, WANG K, et al. Demand response strategy of integrated energy system considering electricity-hydrogen energy storage under the carbon market[J]. Modern Electric Power, 2023, 40(6): 947-956.

[10] LI J R, LIN J, SONG Y H, et al. Operation optimization of power to hydrogen and heat (P2HH) in ADN coordinated with the district heating network[J]. IEEE Transactions on Sustainable Energy, 2019, 10(4): 1672-1683.

[11] 李红伟, 吴佳航, 王佳怡, 等. 计及P2G及碳捕集的风光氢储综合能源系统低碳经济调度[J]. 电力系统保护与控制, 2024, 52(16): 26-36.LI H W, WU J H, WANG J Y, et al. Low-carbon economic dispatch of a wind, solar, and hydrogen storage integrated energy system considering P2G and carbon capture[J]. Power System Protection and Control, 2024, 52(16): 26-36.

[12] 吴盛军, 李群, 刘建坤, 等. 基于储能电站服务的冷热电多微网系统双层优化配置[J]. 电网技术, 2021, 45(10): 3822-3832.WU S J, LI Q, LIU J K, et al. Bi-level optimal configuration for combined cooling heating and power multi-microgrids based on energy storage station service[J]. Power System Technology, 2021, 45(10): 3822-3832.

[13] 王佳惠, 牛玉广, 陈玥, 等. 电-碳联合市场下虚拟电厂主从博弈优化调度[J]. 电力自动化设备, 2023, 43(5): 235-242.WANG J H, NIU Y G, CHEN Y, et al. Master-slave game optimal dispatching of virtual power plant under electricity-carbon joint market[J]. Electric Power Automation Equipment, 2023, 43(5): 235-242.

[14] 白拯坤. 虚拟电厂优化调度问题的研究与解决[D]. 天津: 天津理工大学, 2022.BAI Z K. Research and solution of optimal scheduling problem of virtual power plant[D]. Tianjin: Tianjin University of Technology, 2022.

[15] 刘雨佳, 樊艳芳, 郝俊伟, 等. 基于碱性电解槽宽功率适应模型的风光氢热虚拟电厂容量配置与调度优化[J]. 电力系统保护与控制, 2022, 50(10): 48-60.LIU Y J, FAN Y F, HAO J W, et al. Capacity configuration and optimal scheduling of a wind-photovoltaic-hydrogen-thermal virtual power plant based on a wide range power adaptation strategy for an alkaline electrolyzer[J]. Power System Protection and Control, 2022, 50(10): 48-60.

[16] 兰征, 刁伟业, 涂春鸣, 等. 含储能和氢燃料电池的孤岛微电网混合运行模式与功率协调策略研究[J]. 电网技术, 2022, 46(1): 156-164.LAN Z, DIAO W Y, TU C M, et al. Research on hybrid operation mode and power coordination strategy of island microgrid with energy storage and hydrogen fuel cell[J]. Power System Technology, 2022, 46(1): 156-164.

[17] 张涛, 郭玥彤, 李逸鸿, 等. 计及电气热综合需求响应的区域综合能源系统优化调度[J]. 电力系统保护与控制, 2021, 49(1): 52-61.ZHANG T, GUO Y T, LI Y H, et al. Optimization scheduling of regional integrated energy systems based on electric-thermal-gas integrated demand response[J]. Power System Protection and Control, 2021, 49(1): 52-61.

[18] 魏震波, 马新如, 郭毅, 等. 碳交易机制下考虑需求响应的综合能源系统优化运行[J]. 电力建设, 2022, 43(1): 1-9.WEI Z B, MA X R, GUO Y, et al. Optimized operation of integrated energy system considering demand response under carbon trading mechanism[J]. Electric Power Construction, 2022, 43(1): 1-9.

[19] 闫文文, 文中, 王爽, 等. 基于AA-CAES电站和综合需求响应的供暖期弃风消纳策略[J]. 广西师范大学学报(自然科学版), 2024, 42(2): 55-68.YAN W W, WEN Z, WANG S, et al. AA-CAES plant and integrated demand response based wind abandonment and consumption strategy for the heating period[J]. Journal of Guangxi Normal University (Natural Science Edition), 2024, 42(2): 55-68.

[20] 何黎君, 程杉, 陈梓铭. 考虑交互功率控制和双边竞价交易的多微电网双层优化调度[J]. 电力系统保护与控制, 2020, 48(11): 10-17.HE L J, CHENG S, CHEN Z M. A scheduling model of a multi-microgrid system based on bi-layer optimization with consideration of PCC power control and bilateral bidding[J]. Power System Protection and Control, 2020, 48(11): 10-17.

[21] 李红伟, 荆浩婕, 吴磊, 等. 基于能量枢纽可变能量效率的电热网优化运行[J]. 郑州大学学报(工学版), 2023, 44(6): 76-83.LI H W, JING H J, WU L, et al. Optimal operation of electric heating network based on variable energy efficiency of energy hub[J]. Journal of Zhengzhou University (Engineering Science), 2023, 44(6): 76-83.

Optimal Scheduling of Combined Heat and Power Based Microgrid Considering Hydrogen Energy Storage Power Station Services

LI Hongwei, LIU Lingyuan, DING Ning, REN Cheng

(The College of Electrical Engineering and Information, Southwest Petroleum University, Chengdu 610500, China)

Abstract: In order to achieve a win-win situation between micro grid and hydrogen energy storage power station, in this study a combined heat and power (CHP) supply based micro-grid was built by considering the services of hydrogen energy storage power station and demand response. The system combines electricity, heat and hydrogen energy and realized the energy conversions among them.And the waste heat recovery was included to effectively improve the whole energy utilization. Then, a double planning model with two optimization problems was presented. The upper-level model focused on optimizing hydrogen energy storage power stations and aiming to minimize the total operating cost of these stations. The lower-level model analyzed the optimization operation model of microgrid system with hydrogen energy storage power stations to achieve the goal of minimizing the total operating cost of the CHP based microgrid. Based on the Lagrange function and KKT condition, lower level target were transformed and added into upper level as constraint conditions, and then the large-M method was used to solve the problems by transforming the nonlinear programming problem into a mixed integer linear programming problem. The impacts of price type and alternative load ratio on the system were analyzed, and the appropriate ratio could be given to maximize the benefits of the system. Considering the characteristics of two typical seasons, winter and summer, three scenarios were selected for comparative analysis. The results verified the feasibility and effectiveness of the model. After reasonably adjusting the load proportion of demand response, the system had lower operational cost and better economic efficiency.

Keywords: combined heat and power supply(CHP); demand response; hydrogen energy storage power station; double-layer planning; optimization scheduling

收稿日期:2025-09-02;修订日期:2025-12-09

基金项目:国家自然科学基金资助项目(51905457);国家社会科学基金资助项目(22XGL019)

作者简介:李红伟(1977—),男,河南安阳人,西南石油大学教授,博士,主要从事配电网分析与优化、多能量优化与控制研究,E-mail:lhwmail@126.com。

引用本文:李红伟,刘玲园,丁宁,等. 计及氢储能电站服务的热电联供型微网优化调度[J]. 郑州大学学报(工学版),2026,47(2):94-103. (LI H W, LIU L Y, DING N,et al. Optimal scheduling of combined heat and power based microgrid considering hydrogen energy storage power station services[J]. Journal of Zhengzhou University(Engineering Science),2026,47(2):94-103.)

文章编号:1671-6833(2026)02-0094-10

中图分类号: TM73

文献标志码:A

doi:10.13705/j.issn.1671-6833.2026.02.009