构网型风机参与新能源高渗透率送端系统电压控制

陈博洋1, 刘旭敏1, 孔德祯1, 金 琴1, 邢 开2, 李忠文2

(1.国网甘肃省电力公司 经济技术研究院,甘肃 兰州 730000;2.郑州大学 电气与信息工程学院,河南 郑州 450001)

摘 要: 针对新能源基地中高比例电力电子设备接入所导致的系统惯性减小与无功调节能力不足,进而引起的母线电压波动问题,提出了一种构网型风机参与新能源高渗透率送端系统电压控制策略。首先,利用跟网型静止无功发生器实现快速无功响应,抑制初始电压波动。其次,构网型风机通过模拟同步发电机的电气与机械特性,增强系统电压支撑能力。考虑到变流器容量限制,在电压严重跌落情况下,构网型风机采用自适应有功减载控制,提升无功补偿能力。同时设计了恒功率与定直流电压控制策略,实现柔性直流输电系统送端和受端之间的功率平衡,减少直流母线电压波动。最后,通过MATLAB/Simulink搭建的IEEE13节点新能源基地仿真模型,验证了相比于传统电源调压方法,在无功负荷突变和短路造成电压跌落及控制策略下的电压偏差分别减少了18%和50%,显著提升了新能源高渗透率送端系统在故障扰动下的电压恢复能力。

关键词:新能源基地; 构网型风机; 跟网型静止无功发生器; 电压支撑; 无功补偿

随着“碳达峰碳中和”目标的提出,中国已经开始大规模发展风、光等新能源发电,构建以新能源为主体的新型电力系统[1-3]。然而,中国新能源呈现明显的区域特征,东部沿海和负荷中心区域较为贫乏,西部地区较为丰富。通过柔性直流输电(voltage source converter based high voltage direct current,VSC-HVDC)系统将西部地区新能源基地的清洁电能输送到东部负荷中心,不仅有效缓解了负荷中心区域电能供应不足的问题,而且提高了新能源的消纳水平[4]

近些年,随着新能源装机容量不断增加,西部地区新建了大量新能源基地,如青海省海南州光伏基地、内蒙古乌兰察布风电基地、新疆哈密和吐鲁番光伏基地等。然而,高比例电力电子化的新能源基地呈现弱电网特性,电压支撑能力和抗干扰能力显著降低,对电力系统电压稳定造成了严重影响[5]。林俐等[6]提出了一种基于构网型储能的新能源基地电压调节方法,建立了构网型储能电站的运行模型,通过动态调整无功预留容量进行无功优化。然而,该方法仅考虑了储能电站的电压调节能力,投资和运行成本过大。赵天骐等[7]提出了分布式调相机和电容器无功功率协同补偿方法,以系统在预测故障集下的电压恢复动态性能为优化目标,调节风电机组并网点电压。于佰建等[8]提出了基于改进萤火虫算法的电网无功-电压优化方法,建立多源无功-电压优化模型,减少了有功网损和电压偏差。然而,该算法易陷入局部最优,导致优化效果受限。郭雪丽等[9]提出了基于等值模型的配电网多层协调无功优化方法,解决了分布式风光分层接入所导致电压越限问题。然而,该方法需要收集大量数据用于拟合电压-无功功率模型,增加了系统计算负担。赵冬梅等[10]提出了一种考虑暂态电压稳定性与经济性的无功功率优化配置方法,通过电压评估指标和节点电压灵敏度进行无功功率补偿设备选址,提高了新能源基地故障后的电压恢复能力。徐衍会等[11]提出了一种考虑系统电压稳定的静止无功发生器(static var generator,SVG)优化配置方法,降低了新能源基地的柔性直流输电系统受端电压波动。然而,该方法未考虑SVG与其他无功补偿设备之间的协同优化。Al-Saidi等[12]提出了静止无功补偿器(static var compensator,SVC)最佳位置补偿及其控制方法,利用粒子群优化算法改善了电压曲线,减少了线路损耗,加快了电压恢复速度并增强了系统稳定性。邱硕等[13]和刘延龙等[14]提出了构网型SVG参与电压调节的方法,揭示了高比例新能源波动引起的暂态功角失稳机理,提升了弱电网电压支撑能力。Gao等[15]和Yin[16]提出以转子电流感应电动势作为内部电动势的新型双馈构网型风力发电机控制策略,使风力发电机具有同步发电机的机械和电气特性,能够独立脱网运行,改善电网强度,调节系统电压和频率。张建坡等[17]提出了构网(grid forming,GFM)型和跟网(grid following,GFL)型直驱风机在故障穿越期间的协同控制方法,有效抑制了换流器换相失败引起的暂态峰值过电压。王磊等[18]提出多端柔性直流输电控制方法,在送端和受端电网发生故障时,保证柔性直流输电系统的稳定运行。欧阳金鑫等[19]提出了柔性直流输电系统故障穿越控制方法,在减少卸负荷的同时为受端电网提供无功补偿,从而最大限度避免直流电压越限。然而,该方法未考虑故障切除时间对卸负荷的影响。

考虑到新能源基地电力电子化程度较高,跟网型SVG的无功功率补偿能力有限,而且在电压发生严重波动时,会引起自身输出功率振荡,加剧电压的不稳定。因此,本文提出了构网型风机主动参与电压调节的方法。主要贡献如下:①在传统电源比例较低和电压波动性较大的新能源系统中,利用构网型风机模拟同步发电机的机械和电气输出特性,以增强电压支撑能力,并提供无功功率补偿。②考虑构网型风机变流器容量约束,当发生短路时自适应减少其有功功率输出,从而增加其无功功率补偿容量和过流能力。③跟网型SVG能够快速响应电压调节,吸收或发出无功功率,减少电压波动。④在保证新能源基地稳定运行的条件下,提出了柔性直流输电系统换流器的恒功率和定直流电压控制策略,保证外送功率和直流电压的稳定。

1 柔性直流输电系统控制策略

1.1 柔性直流输电系统模型

图1为柔性直流输电系统,主要包括新能源基地侧换流站、电网侧换流站、直流输电线路和交流电网。新能源基地中的风电站、光伏电站和光热电站通过变压器与送端交流侧母线连接。

图1 柔性直流输电系统
Figure 1 Flexible direct current transmission system

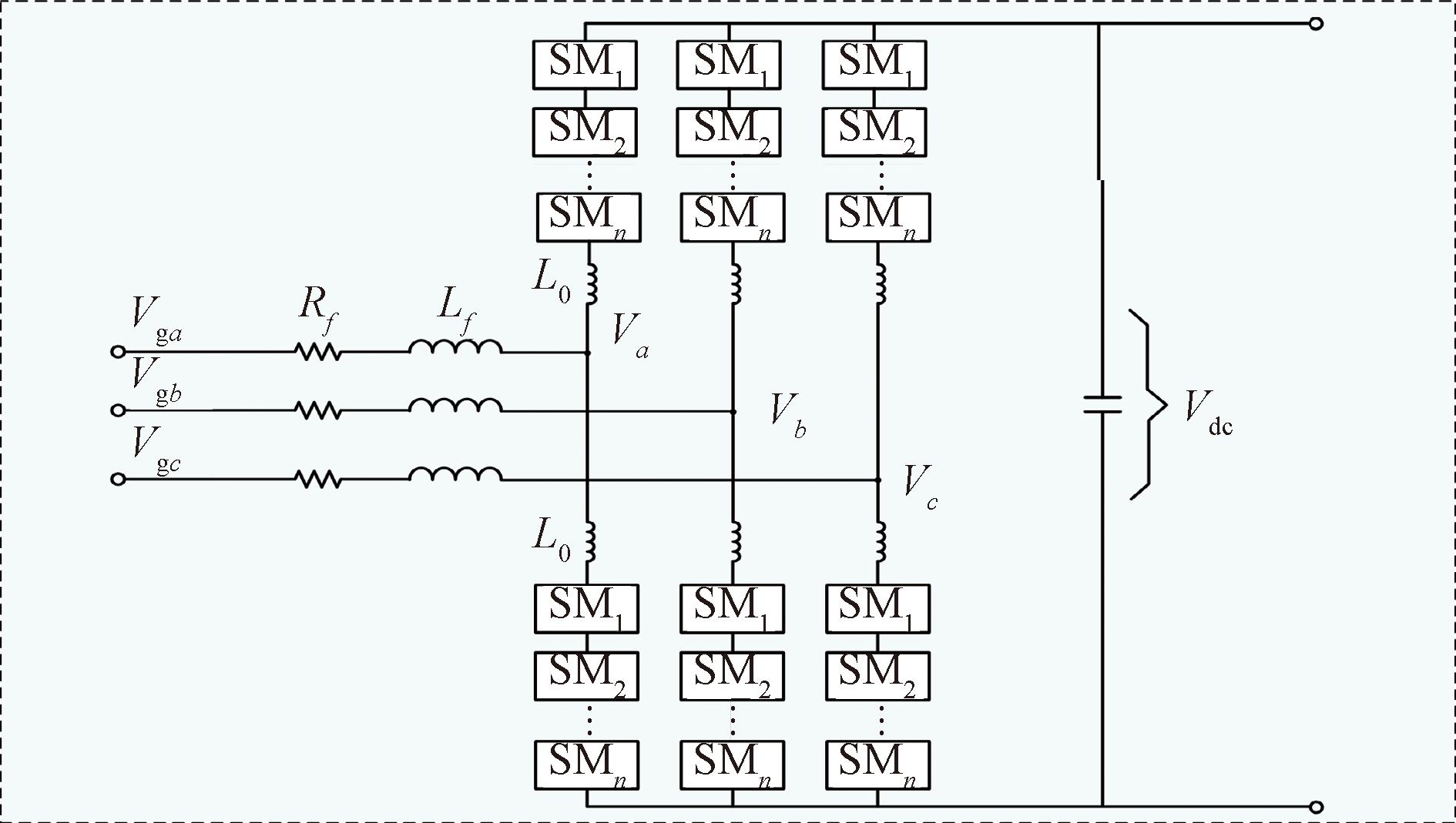
图2为柔性直流输电系统送端换流器拓扑,柔性直流输电系统的换流器是一种电压型的电力电子开关器件,上、下桥臂均有n个子模块,相对于传统特高压直流输电系统,具有承受电压等级高、避免换相失败、灵活控制有功和无功功率以及不需要大量无功补偿设备等优点[20-21]

图2 柔性直流输电系统送端换流器拓扑
Figure 2 Topology of the converter at the sending-end of a flexible direct current transmission system

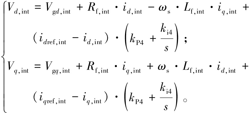
由于送端换流器和受端换流器的拓扑结构是一种对称的结构,因此本文仅分析送端换流器的数学模型。根据基尔霍夫电压和电流定理得到送端换流器的数学模型为

(1)

式中:Vgd,outVgq,out分别表示d-q坐标轴下的电网电压;Vd,outVq,out分别表示d-q坐标轴下的换流器桥臂电压;id,outiq,out分别表示d-q坐标轴下电网侧流入换流器的电流;ωs表示d-q轴旋转角速度;Rf,outLf,out分别表示滤波器电阻、电感。

d-q坐标轴下,当电网电压以d轴电压定向时,通过换流器的有功功率Pout和无功功率Qout的表达式为[22]

(2)

(3)

1.2 送端换流器控制器设计

送端换流器对应的控制器可以调节新能源基地外送功率的大小,为了保证输送电能质量,送端换流器采用恒功率控制。

恒功率控制策略包括两个控制环,分别为功率环和电流环。功率环控制器的设计为

(4)

电流环控制器设计为

(5)

式中:Pref表示外送有功功率参考值;Qref表示外送无功功率参考值,其大小通常为零。

1.3 受端换流器控制器设计

在柔性直流输电系统中,送端输出功率、受端输入功率和直流电压耦合的关系如式(6)所示。当送端输出功率和受端输入功率不匹配时,将会引起直流电压的波动,影响整个系统的稳定运行。因此,为了维持直流电压稳定和功率平衡,受端换流器采用定直流电压控制。

(6)

式中:PoutPin分别表示为送端输出功率和受端输入功率;Vgd,outigd,outVgd,intigd,int分别表示送端d-q坐标轴下的送端电网电压、电流和受端电网电压、电流;Vdc表示直流电压;Cdc表示直流侧电容。

定直流电压控制策略包括两个控制环,分别为电压环和电流环。由于柔性直流输电系统通常只传输有功功率,因此,受端换流器的电流参考值为iqref,int=0。电压环控制器设计为

(7)

电流环控制器设计为

(8)

2 新能源基地电压调节控制策略

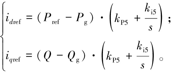
2.1 跟网型SVG参与电压调节控制

图3为SVG控制原理图,根据电力系统潮流分析可以得到线路电压与无功功率的关系为

(9)

图3 SVG控制原理图
Figure 3 Schematic diagram of SVG control principle

式中:

通常ωs·Lf>>Rf且功角δ0较小,将式(9)化简为

(10)

由于SVG主要通过响应电压变化进行无功补偿,因此功率环中的有功功率参考值Pref=0。根据式(10)可以得到系统电压偏差和无功功率是一种下垂关系。因此,当系统无功功率不平衡或者短路引起电压波动时,SVG参与电压调节的无功功率输出表达式为

Qref=Q0-kq,SVG(Vg,rms-VN)。

(11)

式中:Qref表示SVG输出的无功功率;Q0表示无功功率补偿容量额定值;kq,SVG表示下垂系数;Vg,rms表示电网相电压有效值;VN表示电网相电压额定值。

功率环控制器设计为

(12)

电流环控制器设计为

(13)

2.2 构网型风机参与电压调节控制

构网型风机通过模拟同步发电机的机械和电气输出特性,能够为系统提供虚拟惯性,维持系统频率稳定,同时具有一定的电压支撑能力[23]。相比于跟网型风机,构网型风机可以脱网运行,类似于同步发电机的运行特性,保障负荷稳定运行。由于新能源基地的传统发电机组占比较低,电网强度较弱,通过提高构网型风机比例能够显著改善电网强度,维持新能源基地电压稳定[24]

图4为构网型风机控制原理图。为了使构网型风机具有同步发电机的输出特性,控制策略中包括虚拟同步发电机控制环、预同步控制环、虚拟阻抗环、电压控制环和电流控制环。

图4 构网型风机控制原理图
Figure 4 Control principle of grid-forming wind turbine

在虚拟同步发电机控制环中,构网型风机模拟同步发电机的有功-频率机械方程为

(14)

(15)

式中:J表示模拟同步发电机的虚拟转动惯量,kg·m2;TmTe分别表示机械转矩、电磁转矩,N·m;D表示阻尼系数,N·m·s/rad;ωω0分别表示电网电压角速度和额定角速度,rad/s;Pref,syc表示虚拟同步发电机的额定容量,W,其大小由风机输出功率决定;kω表示频率调差系数。

根据式(15)可以得到构网型风机产生的角速度ωsyc和相角θsyc

(16)

(17)

无功-电压调节方程为

Vsyc=Vref,syc-kq(Qsyc-Qref,syc)。

(18)

式中:Vsyc表示构网型风机输出的电压;Vref,syc表示构网型风机输出的空载电势;kq表示电压调节系数;Qsyc表示虚拟同步发电机输出无功功率;Qref,syc表示构网型风机额定无功功率[25]

当构网型风机直接并网时会产生较大的瞬时电流,严重时造成并网失败。加入预同步控制环能够使构网型风机输出电压在满足并网条件时进行并网,降低并网瞬时电流。

根据式(17)、(18)得到虚拟同步发电机控制环输出电压为

(19)

预同步控制环控制器设计为

(20)

(21)

式中:θpcc表示并网点相角;Vpcc表示并网点电压。

经过预同步控制环产生的电压为

(22)

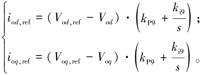
为了提升构网型风机的过流能力,增加虚拟阻抗限制线路电流,经过虚拟阻抗环产生的参考电压为

(23)

式中:Voabc,ref表示经过虚拟阻抗环产生的三相电压;Voabc,syo表示预同步控制环产生的三相电压;ioabc表示构网型风机产生的三相电流;LvRv表示虚拟阻抗。

由于构网型风机变流器最大容量Smax的限制,当发生严重的电压波动时,构网型风机应减少输出有功功率,增加输出无功功率。因此,构网型风机输出有功自适应减载的表达式为

(24)

式中:Pwind,ref表示风机有功功率输出额定值。

电压环控制器设计为

(25)

式中:Vod,refVoq,ref分别表示Voabc,refd-q坐标轴下的电压。

电流环控制器设计为

(26)

3 仿真分析

为了验证本文所提控制策略的有效性,在MATLAB/Simulink平台上搭建了新能源基地柔性直流外送系统,控制器参数如表1所示。

表1 控制器参数
Table 1 Controller parameters

控制器相关参数柔性直流系统kP1=1.5,ki1=100,kP2=5,ki2=120,kP3=0.5,ki3=100,kP4=5,ki4=120跟网型SVGkP5=2,ki5=900,kP6=24 ki6=1 944构网型风机 kP7=-3,ki7=1 200,kP8=0.29,ki8=2 700,kP9=2,ki9=140,kP10=0.2,ki10=65

新能源基地场站分布如图5 IEEE13节点仿真模型所示。风电场站、光伏场站、光热场站和储能场站通过330 kV/750 kV变压器与750 kV母线连接,火电站和抽水蓄能电站直接与750 kV母线连接,750 kV母线与送端换流站连接。光伏场站、光热场站和储能场站采用跟网型控制,不参与电压调节。其中构网型风机和SVG的参数设置如下:Pref,syc=2 000 MW,J=10 kg/m2,kω=10.61 MW/rad,kq=0.165 kV/MVar,D=2.5 N·m·s/rad,Q0=200 MVar,kq,i=0.083 kV/MVar。

图5 IEEE13节点仿真模型
Figure 5 IEEE 13-bus simulation model

3.1 构网型风机预同步控制策略性能验证

为了验证构网型风机预同步控制策略的有效性,设置了如下的仿真场景:0.05 s时,构网型风机与电网连接。图6为预同步控制策略效果。如图6(a)所示,0.05 s时,构网型风机进行并网,输出电压发生了畸变,由于预同步控制策略的作用,在0.05 s内电压恢复到了额定值。如图6(b)所示,0.05 s时构网型风机输出电流突然增加,在预同步控制策略的作用下,输出电流为120.06 A,避免了过流现象的产生,证明了本文所提预同步控制策略的有效性。

图6 预同步控制策略效果
Figure 6 Effectiveness of pre-synchronization control strategy

3.2 新能源基地电压调节控制策略性能验证

为了验证本文所提调压控制策略的有效性,设置了如下仿真场景:

(1)新能源基地0.1 s突增150 MVar无功负荷。图7~图10分别为传统电源参与电压调节、跟网型SVG参与电压调节、构网型风机参与电压调节、跟网型SVG和构网型风机共同参与电压调节。如图7所示,当系统发生150 MVar的无功功率缺额时,火电机组发出27.23 MVar无功功率,抽水蓄能机组发出10.57 MVar无功功率,新能源基地的母线电压跌落了0.2 p.u.,调压效果明显不足。如图8所示,当母线电压跌落时,SVG瞬间输出45 MVar无功功率,电压恢复到了0.85 p.u.。如图9所示,当母线电压跌落时,构网型风机瞬间输出93.76 MVar无功功率,母线电压恢复到了0.91 p.u.。如图10所示,构网型风机和SVG共同提供无功补偿,输出的无功功率分别为20.40 MVar和113.98 MVar,母线电压恢复到了0.98 p.u.。相比于传统电源、跟网型SVG和构网型风机参与电压调节,构网型风机和SVG共同参与电压调节时的电压偏差分别减少了18%、13%和7%。

图7 传统发电机组调压效果
Figure 7 Voltage regulation effect of traditional power generation units

图8 SVG调压效果
Figure 8 Voltage regulation effect of SVG

图9 构网型风机调压效果
Figure 9 Voltage regulation effect of grid-forming wind turbine

图10 构网型风机和SVG共同调压效果
Figure 10 Voltage regulation effect of the collaboration between grid-forming wind turbines and SVG

(2)新能源基地0.1 s母线电压发生短路,电压从1 p.u.跌落至0.5 p.u.。图11、图12分别为传统电源参与电压调节和传统电源、跟网型SVG以及构网型风机共同参与电压调节的效果。

图11 传统发电机组调压效果
Figure 11 Voltage regulation effect of traditional power generation units

图12 传统电源-跟网型SVG-构网型风机共同调压效果
Figure 12 Coordinated voltage regulation effect of conventional power sources, grid-following SVG, and grid-forming wind turbines

如图11所示,发生短路时,火电机组发出95.76 MVar无功功率,抽水蓄能机组发出27.72 MVar无功功率,仅传统电源参与电压调节时的电压跌落了0.5 p.u.,已经严重影响了电力系统稳定运行。同时将会触发断路器保护工作,导致新能源机组脱网运行。如图12(b)所示,发生短路时,火电机组发出35.46 MVar无功功率,抽水蓄能机组发出10.89 MVar无功功率,SVG瞬间产生了43.03 MVar的无功功率补偿。如图12(c)所示,为了保证构网型风机提供足够的无功补偿,同时考虑构网型风机变流器容量限制,输出有功功率从1 125.62 MW减少至554.26 MW,输出无功功率从120.81 MVar增加至263.03 MVar。如图12(a)所示,在构网型风机、跟网型SVG和传统电源共同参与电压调节下,系统母线电压恢复到了额定值,相比于传统电源调节,本文所提控制策略电压偏差减少了50%。综上所述,本文控制策显著增强了扰动故障下的电压调节能力。

3.3 柔性直流输电系统控制策略性能验证

新能源基地外送额定功率为20 000 MW,柔性直流输电直流电压为800 kV。为了验证柔性直流输电控制策略的有效性,设置了如下仿真场景:0.2 s时,输出有功功率增加0.2 p.u.。图13为恒功率和定直流电压控制策略效果。

图13 恒功率和定直流电压控制策略效果
Figure 13 Effectiveness of constant power and constant DC voltage control strategies

如图13所示,当新能源基地外送有功功率突增0.2 p.u.时,送端交流母线电压和电流均保持良好的波形;直流电压在0.1 s内恢复到了额定值,保证了柔性直流输电系统的稳定运行,证明本文所提恒功率和定直流电压控制策略的有效性。

4 结论

(1)在无功负荷不平衡或短路引起电压波动时,构网型风机、SVG、火电机组和抽水蓄能机组共同参与电压调节,进行无功功率补偿,相比于传统电源调压方法,电压偏差减少了50%。构网型风机通过模拟同步发电机的输出特性,显著提升了系统电压支撑能力,保证了新能源基地电压的稳定。

(2)在柔性直流系统中传送功率发生波动时,通过对直流电压和输送功率的耦合控制,直流电压在0.1 s内恢复到了额定值,保证了柔性直流输电系统的稳定运行。

参考文献:

[1] 李晖, 刘栋, 姚丹阳. 面向碳达峰碳中和目标的我国电力系统发展研判[J]. 中国电机工程学报, 2021, 41(18): 6245-6259.LI H, LIU D, YAO D Y. Analysis and reflection on the development of power system towards the goal of carbon emission peak and carbon neutrality[J]. Proceedings of the CSEE, 2021, 41(18): 6245-6259.

[2] 康重庆, 杜尔顺, 郭鸿业, 等. 新型电力系统的六要素分析[J]. 电网技术, 2023, 47(5): 1741-1750.KANG C Q, DU E S, GUO H Y, et al. Primary exploration of six essential factors in new power system[J]. Power System Technology, 2023, 47(5): 1741-1750.

[3] 王金凤, 张惠惠, 祝方圆. 基于典型场景集的高比例风电系统运行灵活性评估[J]. 郑州大学学报(工学版), 2021, 42(6): 93-98.WANG J F, ZHANG H H, ZHU F Y. Evaluation of system operational flexibility of high proportion wind power system based on the typical scene set[J]. Journal of Zhengzhou University (Engineering Science), 2021, 42(6): 93-98.

[4] 李惠玲, 王曦, 高剑, 等. 新型电力系统背景下西部送端直流电网方案构建[J]. 中国电力, 2023, 56(5): 12-21.LI H L, WANG X, GAO J, et al. Scheme construction for sending end DC grids in western China under the background of new power system[J]. Electric Power, 2023, 56(5): 12-21.

[5] 黎博, 陈民铀, 钟海旺, 等. 高比例可再生能源新型电力系统长期规划综述[J]. 中国电机工程学报, 2023, 43(2): 555-581.LI B, CHEN M Y, ZHONG H W, et al. A review of long-term planning of new power systems with large share of renewable energy[J]. Proceedings of the CSEE, 2023, 43(2): 555-581.

[6] 林俐, 马笑寒, 丁文敏. 计及构网型储能电站的新能源基地无功协调优化控制[J]. 电力系统自动化, 2025, 49(1): 59-68.LIN L, MA X H, DING W M. Coordinated optimal reactive power control of renewable energy base considering grid-forming energy storage station[J]. Automation of Electric Power Systems, 2025, 49(1): 59-68.

[7] 赵天骐, 郭金鹏, 张海燕, 等. 考虑调相机的风电场稳态-暂态无功协同优化控制[J]. 电力系统自动化, 2024, 48(24): 54-65.ZHAO T Q, GUO J P, ZHANG H Y, et al. Steady state-transient state reactive power cooperative optimization control of wind farm considering synchronous condensers[J]. Automation of Electric Power Systems, 2024, 48(24): 54-65.

[8] 于佰建, 陈卓尔, 宋长城, 等. 基于改进萤火虫算法的含多种新能源地区电网的无功电压优化[J]. 河海大学学报(自然科学版), 2024, 52(5): 93-100.YU B J, CHEN Z E, SONG C C, et al. Reactive power and voltage optimization based on improved firefly algorithm in regional power grids with a variety of new energies[J]. Journal of Hohai University (Natural Sciences), 2024, 52(5): 93-100.

[9] 郭雪丽, 胡志勇, 王爽, 等. 考虑大规模风光分层接入的配电网多层协调无功优化方法[J]. 电力系统保护与控制, 2024, 52(12): 113-122.GUO X L, HU Z Y, WANG S, et al. A multi-layer coordinated reactive power optimization method for a distribution network considering large-scale distributed wind-photovoltaic hierarchical access[J]. Power System Protection and Control, 2024, 52(12): 113-122.

[10] 赵冬梅, 魏中庆, 祝晨丹, 等. 就地无常规电源支撑的新能源基地无功源优化配置方法[J]. 华北电力大学学报(自然科学版), 2025, 52(3): 1-11.ZHAO D M, WEI Z Q, ZHU C D, et al. Optimal allocation method for reactive power source in new energy base without conventional power support[J]. Journal of North China Electric Power University, 2025, 52(3): 1-11.

[11] 徐衍会, 任晋, 田鑫, 等. 综合提升新能源高占比受端电网小干扰和暂态电压稳定性的SVG优化配置方法[J]. 电力系统保护与控制, 2024, 52(19): 119-130.XU Y H, REN J, TIAN X, et al. An SVG optimal configuration method for enhancing small disturbance and transient voltage stability in a receiving-end power grid with a high proportion of renewable energy[J]. Power System Protection and Control, 2024, 52(19): 119-130.

[12] AL-SAIDI M, AL-BADI A, ONEN A, et al. Optimal location and size of static var compensators (SVC) to enhance the voltage profile on the main interconnected system in Oman[J]. Energies, 2023, 16(19): 6802.

[13] 邱硕, 庄可好, 汤波, 等. 基于直流电容自同步的构网型SVG暂态同步稳定分析与提升策略[J]. 电网技术, 2025, 49(9): 3633-3642.QIU S, ZHUANG K H, TANG B, et al. Transient synchronous stability analysis and enhancement strategy for DC capacitor self-synchronisation-based constructed grid type SVGs[J]. Power System Technology, 2025, 49(9): 3633-3642.

[14] 刘延龙, 陈晓光, 姚爽爽, 等. 基于构网型SVG控制优化的双馈风场高频谐振抑制分析[J]. 电力建设, 2024, 45(11): 125-136.LIU Y L, CHEN X G, YAO S S, et al. Analysis of high-frequency resonance suppression in doubly-fed wind farms based on grid-forming SVG control optimization[J]. Electric Power Construction, 2024, 45(11): 125-136.

[15] GAO X S, WANG Z H, DING L, et al. A novel virtual synchronous generator control scheme of DFIG-based wind turbine generators based on the rotor current-induced electromotive force[J]. International Journal of Electrical Power &Energy Systems, 2024, 156: 109688.

[16] YIN M L. The doubly-fed wind power generator virtual synchronous control[J]. Journal of Physics: Conference Series, 2023, 2584(1): 012070.

[17] 张建坡, 柴欣茹, 辛光明, 等. 换相失败场景下构网型风机对送端暂态过电压影响因素分析及抑制策略研究[J]. 智慧电力, 2024(9): 1-8, 17.ZHANG J P, CHAI X R, XIN G M, et al. Influencing factors of GFM-PMSG on sending-end transient overvoltage under commutation failure &its suppression strategies[J]. Smart Power, 2024(9): 1-8, 17.

[18] 王磊, 武小龙, 侯俊贤, 等. 光伏经多端柔性直流输电并网的控制研究[J]. 电力系统保护与控制, 2019, 47(4): 65-72.WANG L, WU X L, HOU J X, et al. Control of photovoltaic power integration based on multi-terminal VSC HVDC system[J]. Power System Protection and Control, 2019, 47(4): 65-72.

[19] 欧阳金鑫, 陈纪宇, 李昂, 等. 兼顾直流电压安全与无功支撑的柔性直流输电故障穿越控制[J]. 电工技术学报, 2024, 39(19): 6129-6144.OUYANG J X, CHEN J Y, LI A, et al. Fault ride-through control method for VSC-HVDC balancing between DC voltage security and reactive power support[J]. Transactions of China Electrotechnical Society, 2024, 39(19): 6129-6144.

[20] 何东, 甘贝贝, 袁英硕, 等. 基于暂态电压Pearson相关系数的柔性直流配电网纵联保护方法[J]. 电力系统保护与控制, 2024, 52(20): 166-176.HE D, GAN B B, YUAN Y S, et al. Longitudinal protection method of flexible DC distribution network based on transient voltage Pearson correlation coefficient[J]. Power System Protection and Control, 2024, 52(20): 166-176.

[21] 张圣, 杨炳元, 宫子媛, 等. 风光火储打捆接入柔直交流侧送出线路故障特征分析[J]. 电力系统保护与控制, 2025, 53(4): 120-131.ZHANG S, YANG B Y, GONG Z Y, et al. Fault characteristic analysis on the AC side of an MMC-HVDC transmission system connected to a wind-PV-thermal-energy storage system[J]. Power System Protection and Control, 2025, 53(4): 120-131.

[22] 邢鹏翔, 贾璇悦, 许长清, 等. 基于功率匹配和自适应惯性的VSG预同步控制方法[J]. 郑州大学学报(工学版), 2023, 44(3): 69-75.XING P X, JIA X Y, XU C Q, et al. Pre-synchronization control method for virtual synchronous generator based on power matching and self-adaptive inertia[J]. Journal of Zhengzhou University (Engineering Science), 2023, 44(3): 69-75.

[23] 李丰能, 杨苹, 隗知初, 等. 考虑风机调频能量差异的风电场频率主动支撑控制策略[J]. 电力建设, 2025, 46(11): 145-157.LI F N, YANG P, WEI Z C, et al. Active frequency support control strategy for wind farm considering the energy discrepancy of wind turbines[J]. Electric Power Construction, 2025, 46(11): 145-157.

[24] 谢天晗, 郭春义, 张加卿. 跟网-构网混合型风光新能源并网系统的功率稳定传输范围[J/OL]. 中国电力, 2025: 1-12. (2025-10-14)[2025-10-30]. https:∥link.cnki.net/urlid/11.3265.TM.20251013.1614.002.XIE T H, GUO C Y, ZHANG J Q. Stable range of power transmission of grid-forming and grid-following hybrid WT-PV renewable energy grid-connected system[J/OL]. Electric Power, 2025: 1-12. (2025-10-14)[2025-10-30]. https:∥link.cnki.net/urlid/11.3265.TM.20251013.1614.002.

[25] 袁枭添, 杜正春, 李宇骏, 等. 基于直流电压同步的构网型直驱风机两阶段主动阻尼支撑控制策略[J]. 电网技术, 2023, 47(12): 4995-5007.YUAN X T, DU Z C, LI Y J, et al. Two-stage control of DC voltage-synchronized directly-driven wind turbine for active damping support[J]. Power System Technology, 2023, 47(12): 4995-5007.

Grid-forming Wind Turbines Participate in Control of High Renewable Penetration Sending-end Systems

CHEN Boyang1, LIU Xumin1, KONG Dezhen1, JIN Qin1, XING Kai2, LI Zhongwen2

(1.Economic and Technical Research Institute, State Grid Gansu Electric Power Company, Lanzhou 730000, China; 2.School of Electrical and Information Engineering, Zhengzhou University, Zhengzhou 450001, China)

Abstract: To address the issue of bus voltage fluctuations caused by reduced system inertia and insufficient reactive power regulation capability due to the high penetration of power electronic devices in new energy bases, a voltage control strategy was proposed for high penetration sending-end systems, wherein grid-forming wind turbines were actively engaged in voltage regulation. Firstly, a grid-following static var generator was employed to provide fast reactive power response and suppress initial voltage fluctuations. Then, grid-forming wind turbines emulated the electrical and mechanical characteristics of synchronous generators to enhance system voltage support capability. Considering the capacity limitations of converters, an adaptive active power shedding control was applied in severe voltage sag conditions to improve reactive power compensation capability. Meanwhile, constant power and constant DC voltage control strategies were designed to achieve power balance between the sending and receiving ends of the flexible DC transmission system and reduce DC bus voltage fluctuations. Finally, a simulation model of a new energy base based on the IEEE 13-bus system was established in MATLAB/Simulink to validate the effectiveness of the proposed control strategy. Compared with conventional voltage regulation methods, the proposed approach could reduce voltage deviation by 18% with sudden reactive load changes and by 50% in the event of voltage sags caused by short-circuit faults. These results clearly demonstrated that the proposed strategy significantly could improve the voltage recovery capability of high-penetration sending-end systems with fault-induced disturbances.

Keywords: new energy base; grid-forming wind turbines; grid-following static var generator; voltage support; reactive power compensation

收稿日期:2025-11-10;修订日期:2025-12-28

基金项目:国家自然科学基金资助项目(62273312;52109041)

作者简介:陈博洋(1996—),男,甘肃定西人,助理工程师,主要从事电网规划及新能源消纳研究,E-mail:cby1101@foxmail.com

通信作者:李忠文(1989—),男,河南商丘人,郑州大学教授,博士,博士生导师,主要从事新型电力系统电压频率稳定控制研究,E-mail:lzw@zzu.edu.cn。

引用本文:陈博洋,刘旭敏,孔德祯,等. 构网型风机参与新能源高渗透率送端系统电压控制[J].郑州大学学报(工学版),2026,47(2):104-112.(CHEN B Y, LIU X M, KONG D Z, et al. Grid-forming wind turbines participate in control of high renewable penetration sending-end systems[J].Journal of Zhengzhou University(Engineering Science), 2026,47(2):104-112.)

文章编号:1671-6833(2026)02-00104-09

中图分类号:TM315;TM76

文献标志码:A

doi:10.13705/j.issn.1671-6833.2026.02.006