基于参数优化和注意力机制的电动汽车充电负荷预测

韩 涛1, 丁乐言2, 马 明1, 颜 安3, 潘中奇3, 颜 俊3, 杨 军2

(1.中国长江电力股份有限公司,北京 100032;2.武汉大学 电气与自动化学院,湖北 武汉 430072;3.中国长江三峡集团有限公司,湖北 武汉 430010)

摘 要: 在规模化电动汽车(electric vehicle, EV)充电负荷接入配电网的背景下,EV充电行为的时空不确定性导致传统预测方法难以准确刻画其动态特性,直接影响配电网运行优化与充电调度决策的有效性。针对EV充电负荷时序依赖性强、影响因素复杂等问题,提出了一种基于参数优化和注意力机制(attention mechanism, AM)的EV充电负荷预测方法。首先,应用皮尔逊偏相关系数对输入数据进行特征筛选(feature screening, FS),并引入AM改进CNN网络,构建CNNAM网络;其次,提出EV充电负荷CNNAM-BiLSTM组合预测模型,其利用多层卷积层、AM和BiLSTM双向结构提升了对充电负荷特征数据和时间序列的挖掘力度;再次,利用麻雀搜索算法(sparrow search algorithm, SSA)自适应优化预测模型中的超参数;最后,基于武汉市实际充电站负荷数据,将所提SSA-FS-CNNAM-BiLSTM组合预测模型与传统深度学习预测模型、组合预测模型进行对比。结果表明:所提预测算法能取得更优的预测效果并在复杂动态环境中具备更强的适应性。

关键词:电动汽车; 负荷预测; 深度学习; 组合预测; 特征筛选; 参数优化

电动汽车(electric vehicle,EV)作为一种环保节能的交通工具,随着能源电池和调度技术发展,其渗透率增长迅猛[1]。然而,因EV充电负荷的无序性和随机性,大规模EV的接入对配电网安全稳定运行的影响越发显著[2]。在此背景下,提高EV负荷的预测精确度将是配电网规划与安全运行、EV有序充电以及规划充电站选址等问题的研究基础[3]

为提高EV负荷预测精度,可从筛选输入数据集和改进预测模型这两个关键方向展开研究。

对于输入数据集,目前,随着充电站的大量建设及信息储存技术的发展,不少学者对影响EV充电负荷的特征因素开展了分析。Yang等[4]提取用户决策特征,分析营运车辆充电负荷数据与天气因素的关联性。Xu等[5]基于充电站数据,挖掘EV用户出行选择与充电行为的影响因素;Bao等[6]基于充电站记录数据,分析价格因素对EV用户充电行为的影响。但上述文献中数据集存在较高比例的极弱相关性因素,在没有特征筛选(feature screening, FS)的情况下负荷预测精度将受到影响。

目前,关于EV充电负荷预测模型的研究可分为模型驱动和数据驱动两类。部分学者对模型驱动下EV充电负荷预测开展了研究。祁宇轩等[7]提出一种考虑季节特性的多时间尺度EV负荷预测模型。丁乐言等[8]提出一种考虑多源因素的EV充电负荷时空分布预测方法。李宏伟等[9]提出一种基于ArcGIS路网结构与交通拥挤度分析的EV充电负荷预测方法。龙雪梅等[10]提出一种考虑路网-电网信息交互和用户心理的EV充电负荷预测框架。张美霞等[11]提出了一种考虑多源信息实时交互和用户后悔心理的EV充电负荷预测方法。然而,对于上述方法,一方面,需建立EV充电负荷的物理模型,但其实际数据难以获取;另一方面,诸多因素对用户充电行为的影响程度难以用简单的线性化公式界定。

对于数据驱动预测方法,可进一步细分为传统机器学习和深度学习算法两类。因此,针对EV用户充电行为受到多种影响因素、间歇性以及波动性较强的问题,数据驱动预测方法在EV充电负荷预测领域受到了越来越广泛的关注。而其中的深度学习方法对非线性特征的自学能力相较于传统机器学习方法有着更为显著的优势,能够更好地学习到多源因素对EV充电负荷的非线性影响[12]。孙庆凯等[13]构建了一种基于LSTM网络的充电负荷预测模型,以挖掘数据时序特征。赵倩等[14]在聚类分析的基础上搭建卷积神经网络(convolutional neural networks, CNN),提升了对电力负荷季节性特征的挖掘能力。杨龙等[15]将改进的双向长短时记忆神经网络(bi-directional long short-term memory,BiLSTM)应用于短期电力负荷预测,弥补了LSTM神经网络容易忽略前后方向上负荷时序间关联性的问题。然而,对于上述研究,一方面,单一深度学习模型对多特征数据和非线性序列的学习能力有限,有待引入新的机制对传统深度学习方法进行改进,以加强对关键特征的挖掘能力;另一方面,以人工试错方式对预测模型超参数调整既费时又难以取得较优的预测精度。对此,谢文举等[16]提出一种基于粒子群(particle swarm optimization, PSO)的CNN-LSTM混合预测模型。保拉等[17]采用遗传算法(genetic algorithm, GA)优化预测模型参数,以提高负荷的预测精度。但PSO算法容易陷入局部最优解而无法找到全局最优解,GA计算复杂度较高且收敛速度较慢,前者降低了EV负荷预测精度,后者不适应于在线预测的工程需求[18]。因此,对于EV充电负荷预测场景,为确保EV负荷预测精度和在线预测的工程需求,应选用兼顾全局搜索能力和较高收敛速度的算法优化预测模型超参数。

综上,为加强对关联特征的挖掘能力,提升EV负荷预测精度并实现在线预测的工程需求,本文提出一种基于参数优化和注意力机制(attention mechanism, AM)的EV充电负荷预测方法。首先,通过皮尔逊相关系数筛选特征数据,并在CNN网络基础上引入AM改进,构建CNNAM网络;其次,提出了EV充电负荷CNNAM-BiLSTM组合预测模型,利用多层卷积层、AM和BiLSTM双向结构提升了对充电负荷特征数据和时间序列的挖掘力度;再次,使用麻雀搜索算法(sparrow search algorithm, SSA)优化预测模型中的超参数,以实现更优预测效果;最后,利用武汉市实际充电站数据进行验证,将LSTM[19]深度学习预测模型、BiLSTM[20]深度学习预测模型、noFS-CNNAM-BiLSTM[21]预测模型、FS-CNN-BiLSTM[22]预测模型、FS-CNNAM-BiLSTM[23]预测模型与SSA-FS-CNNAM-BiLSTM预测模型对比,结果验证了本文所提模型有着更高的预测精度,并且具备在线应用价值。

1 多源特性数据分析

1.1 皮尔逊偏相关系数

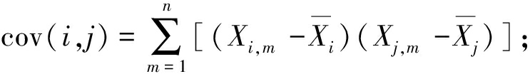
利用皮尔逊偏相关系数可分析不同多源特征对EV充电负荷的影响程度,其取值为[-1,1],绝对值越大代表变量间相关性越高[24]。基于此,可筛选强相关性因素,以提升预测模型运算效率与预测精度。上述计算过程[24]如下:

P(i,j)=cov(i,j)·(σi·σj)-1;

(1)

(2)

(3)

(4)

(5)

(6)

式中:分别为第i个特征和第j个特征的平均值;P(i,j)为第i个特征和第j个特征间的皮尔逊相关系数;Xi,mXj,m分别为第m时刻的第i个特征变量值和第j个特征变量值;n为总时间;cov(i,j)为第i个特征和第j个特征间的协方差;σiσj分别为第i个特征和第j个特征间的标准差;u为特征总数;V为一个u×u的相关系数矩阵;为逆矩阵中第i行第j列的元素;r(i,j)为第i个特征和第j个特征间的皮尔逊偏相关系数。

1.2 充电负荷与多源特征数据的相关性分析

本文以2022—2023年武汉市实际商业区充电站A和实际居民区充电站B为例,除EV负荷数据外,所收集特征数据包括天气、充电电价、日类型以及交通数据。①天气数据来源于气象局,包括气温、风速、大气压、湿度以及降雨概率;②充电电价数据来源于充电站能量管理中心所存储的数据;③日类型分为工作日和休息日,分别设定为1和0;④交通数据来源于交管局,为充电站所处位置周围道路的拥堵指数,计算公式是实际路段行驶时间与畅通时路段行驶时间之比[25]

进一步,基于式(1)~式(6)和所收集的多源特征,得到充电站EV充电负荷与多源特征数据间的偏相关性图,如图1所示。图1中,对于充电站A,保留气温、湿度、降雨概率、电价以及日类型这些强相关性特征数据,并将其与充电站A的实际负荷数据结合以构建充电站A的总数据集。对于充电站B,在上述数据基础上,额外保留交通数据这一强相关特征,从而构建充电站B的总数据集。

图1 EV充电负荷与特征数据间的偏相关性图
Figure 1 A partial correlation graph between EV charge load and characteristic data

2 SSA-CNNAM-BiLSTM预测模型

2.1 SSA-CNNAM-BiLSTM组合预测模型

为更好地挖掘多源特征数据与充电站充电负荷间的关联性,本文建立了SSA-CNNAM-BiLSTM组合预测模型,如图2所示。该模型综合了FS、CNN、AM、BiLSTM和SSA的优势。

图2 SSA-CNNAM-BiLSTM组合预测模型框图
Figure 2 SSA-CNNAM-BiLSTM forecasting model

(1) 在筛选特征方面,输入CNNAM网络的特征数据是经过皮尔逊偏相关性系数筛选的,能舍弃相关性较低的特征数据,增强CNNAM有效挖掘强相关特征数据与充电负荷间关联性的能力。

(2) 在组合模型方面,本文采用CNNAM与BiLSTM相结合的组合模型,不仅能够对特征因素进行深入挖掘,还能够理解充电站充电负荷时间序列中的动态变化特性,从而更好地捕捉充电负荷周期性波动特征。

CNN在处理输入数据时,能够通过其多层卷积层有效提取输入多源特征数据中的局部特征,捕捉与充电站充电负荷数据间的关联性。进一步,本文将AM引入首层卷积层后,改进得到CNNAM,AM部分计算过程[26]

Mi=fam(Ci);

(7)

(8)

z=MkTCi

(9)

式中:Ci为首层卷积网络后第i个特征的输出;fam为一个学习函数,用于体现特征的重要性;L表示特征长度;Mk为通过激活函数Softmax对Mi进行归一化后得到的注意力权重矩阵;输出z为注意力机制的计算结果。

相较于传统CNN,CNNAM模型加强CNN首层卷积层对特征间关系程度的理解能力,并综合次层卷积层的挖掘结果,实现对特征重要性程度的分配。该过程避免模型训练过程中重要特征的丢失,增强对多维特征数据的挖掘能力。在此基础上,BiLSTM能通过双向结构更好地捕捉充电站充电负荷时间序列数据前后的依赖关系。

(3) 在优化参数方面,为进一步提升预测效果,并增强模型在不同预测场景下的适应性,本文引入SSA对模型的超参数进行优化。这些超参数包括卷积核的数量、BiLSTM中神经元的数量、初始学习率、训练周期以及批样本大小。通过对超参数进行优化,SSA能够有效地提高模型的性能,使其在面对不同数据集和预测任务时表现得更加稳健和准确,并且避免了传统手动调整方法所带来的低效率和局限性。

2.2 SSA基本原理

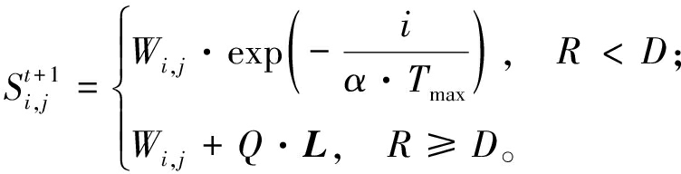
SSA是一种新型群体智能优化算法,其中的麻雀种群分为发现者、加入者和侦察者。发现者负责寻找食物并分享食物所在位置;加入者负责跟随发现者参与捕食;侦察者负责觅食区域内的侦察警戒工作[27]。SSA相较于其他算法具有更强的参数寻优能力以及更快的求解速度。其中发现者、加入者以及侦查者位置更新公式[27]

(10)

(11)

(12)

式中:t为当前迭代次数;为第t次迭代时第i个麻雀第j维的适应度值;Tmax为最大迭代次数;Q为服从正态分布的随机数;α为一个属于(0,1]的随机数;n为麻雀的总数;n1n2分别为发现者数量和加入者数量;n-n1-n2为侦察者数量;R为属于[0,1]的预警值;D为属于[0.5,1]的预警值;Wi,j为第i个麻雀在第j维中的位置信息;L为一个1×d的矩阵,该矩阵内每个元素全部为0,且d为待优化问题的变量数,当R<D时,意味着此时环境周围没有捕食者,发现者应进行更为广泛的探寻过程,而当RD时,意味着种群内的部分麻雀已发现捕食者,并向其余麻雀发出警报,让其飞到更为安全的地方搜索食物;为第t次迭代时全局中最优和最差位置;A为一个1×d的矩阵,其中每个元素随机赋值为1或-1,并且A+=AT(AAT)-1;当i>n/2时,适应度值较低的第i个加入者未获取食物,处于饥饿状态,需飞往其他地方以获取食物。β为一个服从标准正态分布的随机数;K为一个属于[-1,1]的随机数;ε为一个极小值,用于防止所在分式的分母为0;fi为第i个麻雀的适应度值;fbest为当前种群中的最优适应度值;fworst为当前种群中的最差适应度值。

2.3 模型预测流程

SSA-CNNAM-BiLSTM预测模型流程图如图3所示,包括如下5个步骤。

图3 SSA-CNNAM-BiLSTM预测模型流程图
Figure 3 Flow chart of SSA-CNNAM-BiLSTM forecasting model

步骤1 总数据集包括武汉市EV充电站负荷数据与多源特征数据,对于其中的缺失值,利用插值法补充。

步骤2 利用皮尔逊偏相关系数筛选输入的特征数据。

步骤3 将数据集按照7∶3的比例划分为训练集与测试集。每组输入为前一天每15 min的负荷值,每组输出为15 min后所对应的负荷值,以此确定对应的训练矩阵和测试矩阵。

步骤4 基于训练集,使用SSA对CNNAM-BiLSTM网络模型中首层卷积核数量、BiLSTM神经元数、初始学习率、训练周期和批样本大小进行超参数自优化,以加强模型对特征数据和时间序列的挖掘力度。

步骤5 基于超参数的最终优化结果,训练模型得到预测结果。

上述步骤4的伪代码如下。

输入:FS后的数据集、麻雀种群数量NSSA、SSA迭代次数TSSA、优化超参数数量、所优化参数的边界;

输出:麻雀种群最优位置Xbest(即超参数优化结果)、对应的适应度值(即针对训练集的平均百分比误差MAPE)。

① 初始化种群和参数;

② While (t<TSSA) do

③ For i=1:NSSA do

If i==发现者 then

使用式(10)计算更新发现者位置;

elseif i==加入者 then

使用式(11)计算更新加入者位置;

else

使用式(12)计算更新侦察者位置;

End If

计算基于训练集的适应度值;

i=i+1

⑤ End For

t=t+1

⑦ End While

⑧ 输出麻雀种群最优位置以及对应的适应度值

2.4 评价指标

为验证本文所提模型的准确性,本文选取平均百分比误差MAPE、平均绝对误差MAE、均方根误差RMAE和决定系数R2为评价指标,计算公式为

(13)

(14)

(15)

(16)

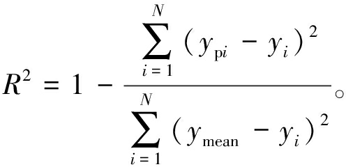
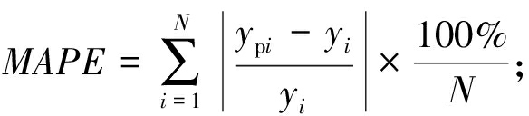
式中:ypiyi分别为EV充电站充电负荷实际值和预测值;ymean为EV充电站充电负荷预测样本均值;N为样本总个数。MAPEMAERMSE越接近于0,说明预测模型的预测精度越高,R2越接近1,说明预测模型的拟合效果越好。

3 仿真结果

3.1 仿真场景及环境配置

本文仿真场景选用2022—2023年武汉市实际商业区充电站A和实际居民区充电站B,EV负荷数据与多源特征数据组成的数据集按照7∶3的比例划分为训练集与测试集。在输入层考虑筛选后的多源特征对EV充电站负荷的影响,将前一天内15 min为间隔的负荷和多源特征数据作为输入集,用来预测15 min后的EV充电站负荷。

本文所提模型在基于MATLAB R2023a和基于Python语言的TensorFlow库两种编程环境中运行。实验仿真所用平台的处理器为 Intel(R) Core(TM) i9-13900 CPU@2.80 GHz,操作系统为Windows 11。

3.2 SSA优化超参数结果

传统的预测模型超参数选择一般采用经验试凑法,既导致对人力和时间的消耗,又难以获得合适的超参数以实现较优预测结果。因此,本文首先采用SSA对CNNAM-BiLSTM神经网络模型中首层CNN卷积核数、BiLSTM神经元数量、初始学习率、训练周期和批样本大小进行优化,其中SSA参数及待优化超参数范围的设置如表1所示。

表1 SSA参数及待优化超参数
Table 1 The setting of SSA parameters and parameters to be optimized

项目取值参数待优化超参数迭代次数TSSA50麻雀种群数量NSSA30预警值0.6发现者比例0.7侦察者比例0.2首层CNNAM卷积核数量[32, 256]BiLSTM神经元数量[16, 512]训练周期[10, 16]初始学习率[1e-3, 1e-2]批样本大小[64, 512]

其次,设置第二层CNNAM卷积核数为首层CNNAM卷积核数的两倍,以实现对多源特征与EV充电站负荷间关联性的深入挖掘。此外,设置训练周期过半的过程中,学习率逐渐降至初始学习率的1/10。因为前期设置较大的学习率,能加快训练效率,而在后期减小学习率,能提升预测精度。

最后,根据表1所设置的SSA参数及待优化超参数范围,选用MAPE作为优化目标,对建立的CNNAM-BiLSTM预测模型的超参数进行优化,得到关于充电站A的SSA优化结果,如图4所示。在图4中,首层卷积核数目、BiLSTM神经元数目、训练周期、初始学习率以及批样本数的初始值分别为128,250,12,0.006和500。在第30次迭代之前,MAPE值逐渐下降,由5.385 2%下降至2.830 0%。在第30次迭代后,所优化超参数趋于稳定,说明在SSA优化下得到了最优解。最优解:首层卷积核数量为128;BiLSTM神经元数量为64;初始学习率为0.005 29;训练周期为15;批样本数为256。进一步,将SSA算法应用于实际充电站B,其超参数的最优解:首层卷积核数量为256;BiLSTM神经元数量为64;初始学习率为0.006 11;训练周期为14;批样本大小为256。

图4 充电站A的SSA优化结果
Figure 4 SSA optimization result of charging station A

上述仿真验证了SSA能优化所建立的CNNAM-BiLSTM组合预测模型的超参数,并在50次迭代循环内达到稳定。另外,SSA具有动态自适应优化特性,能够依据不同充电站的EV负荷与特征间异质关联性,差异化调整卷积核数量、BiLSTM神经元数和学习率等关键超参数,从而实现最优匹配以提升预测模型的泛化精度与适应性。

3.3 多种预测模型对比结果与讨论

针对武汉市实际充电站A和实际充电站B,将LSTM、BiLSTM、noFS-CNNAM-BiLSTM、FS-CNN-BiLSTM[23]、FS-CNNAM-BiLSTM和本文所提模型的预测结果进行对比。其中本文所提预测模型超参数按照3.2节中SSA优化下最优解设置,其他预测模型超参数按照3.2节中SSA优化前初始值设置。在2023年10月18日预测对比结果如图5所示。

图5 多种预测方法预测结果对比
Figure 5 Comparison of prediction results of different prediction methods

另外,选取MAERMSEMAPER2为各预测模型性能指标,对比情况如表2和表3所示。由表2和表3知,对于预测集,相较于LSTM、BiLSTM、noFS-CNNAM-BiLSTM、FS-CNN-BiLSTM[23]和FS-CNNAM-BiLSTM,所提方法预测商业区充电站A充电负荷时,MAPE分别下降3.824 9百分点、3.296 5百分点、3.332 1百分点、2.087 1百分点和1.882 3百分点;预测商业区充电站B充电负荷时,MAPE分别下降3.654百分点、3.122 4百分点、3.252 6百分点、2.132 3百分点和1.951 4百分点。这是因为LSTM和BiLSTM未能有效挖掘充电负荷与输入多源特征间的关联性,因此,预测效果不如FS-CNNAM-BiLSTM。而noFS-CNNAM-BiLSTM未对输入特征进行筛选,导致输入的多源特征量过多,使得卷积层无法有效挖掘强相关多源特征与充电负荷间的关联性。进一步,本文利用AM改进CNN网络,通过权重分配的方式突出关键信息,增强了CNN对多维特征的挖掘能力。同时,本文所提预测模型引入了SSA优化其中的超参数,进一步提升了预测效果。

表2 预测模型性能指标对比情况(充电站A)
Table 2 Comparison of performance indicators of prediction models(charging station A)

数据集预测模型MAE/kWRMSE/kWMAPE/%R2训练集LSTM9.587 112.171 85.371 90.958 4BiLSTM8.947 811.238 55.176 30.964 5noFS-CNNAM-BiLSTM9.822 012.525 35.877 50.955 9FS-CNN-BiLSTM7.745 39.707 04.675 00.973 5FS-CNNAM-BiLSTM7.374 59.218 64.462 30.976 1本文方法4.793 06.092 22.830 00.989 6预测集LSTM11.627 114.640 06.576 50.920 7BiLSTM10.538 613.278 36.048 10.934 8noFS-CNNAM-BiLSTM10.354 613.192 86.083 70.935 6FS-CNN-BiLSTM8.296 210.612 74.838 70.958 3FS-CNNAM-BiLSTM7.983 310.208 54.633 90.961 4本文方法4.712 36.116 82.751 60.986 2

表3 预测模型性能指标对比情况(充电站B)
Table 3 Comparison of performance indicators of prediction models(charging station B)

数据集预测模型MAE/kWRMSE/kWMAPE/%R2训练集LSTM14.675 118.654 35.512 80.955 4BiLSTM13.636 517.172 25.267 10.962 2noFS-CNNAM-BiLSTM14.217 818.226 75.629 50.957 4FS-CNN-BiLSTM11.251 114.205 54.497 80.974 1FS-CNNAM-BiLSTM10.791 313.584 24.321 60.976 3本文方法6.857 58.799 12.686 50.990 1预测集LSTM16.767 421.376 36.544 10.917 7BiLSTM15.238 919.300 66.012 50.932 9noFS-CNNAM-BiLSTM15.450 819.998 06.142 70.927 9FS-CNN-BiLSTM12.697 816.233 75.022 40.952 5FS-CNNAM-BiLSTM12.272 515.664 04.841 50.955 8本文方法7.345 29.576 12.890 10.983 5

此外,本文提出的预测模型计算速度快,训练平均时间及参数优化时间分别为192.38 s和19 207.61 s,并能以每小时为间隔进行在线训练更新,以每日为间隔进行超参数自优化,从而保证该模型在不同预测场景下的适应性和准确度,满足充电站充电负荷在线滚动预测的要求。

综上,上述仿真验证了本文所提的SSA-FS-CNNAM-BiLSTM预测模型能实现更精确地预测并具备复杂动态环境中的适应性。

4 结论

(1)相较于单一预测模型,本文算法能综合CNN、AM和BiLSTM的优势,能对特征数据和时间序列间的关联性进行有效挖掘。同时,引入了基于皮尔逊偏相关系数的FS方法,能排除低相关性的特征数据,以加强对强相关特征的挖掘力度。

(2)引入SSA算法对CNNAM-BiLSTM预测模型中的超参数进行自优化,一方面能减小对人力和时间的消耗;另一方面能找到最优超参数,以提升预测的准确性。

(3)对本文所提出的SSA-FS-CNNAM-BiLSTM预测模型利用武汉市两个实际充电站数据进行验证,与LSTM预测模型、BiLSTM预测模型、noFS-CNNAM-BiLSTM预测模型、FS-CNN-BiLSTM预测模型、FS-CNNAM-BiLSTM预测模型进行对比,验证了本文所提模型有更好的预测效果以及在不同场景下的适应性。

(本文受到中国长江电力股份有限公司科研项目(3423020012)的支持。)

参考文献:

[1] HUANG N T, HE Q K, QI J J, et al. Multinodes interval electric vehicle day-ahead charging load forecasting based on joint adversarial generation[J]. International Journal of Electrical Power &Energy Systems, 2022, 143: 108404.

[2] 孙国强, 徐广开, 沈培锋, 等. 规模化电动汽车负荷的柔性台区协同经济调度[J]. 电网技术, 2020, 44(11): 4395-4404.SUN G Q, XU G K, SHEN P F, et al. Coordinated economic dispatch of flexible district for large-scale electric vehicle load[J]. Power System Technology, 2020, 44(11): 4395-4404.

[3] 孙辉, 沈钟浩, 周玮, 等. 电动汽车群响应的主动配电网阻塞调度研究[J]. 中国电机工程学报, 2017, 37(19): 5549-5559,5832.SUN H, SHEN Z H, ZHOU W, et al. Congestion dispatch research of active distribution network with electric vehicle group response[J]. Proceedings of the CSEE, 2017, 37(19): 5549-5559,5832.

[4] YANG T Y, GUO Q L, XU L, et al. Dynamic pricing for integrated energy-traffic systems from a cyber-physical-human perspective[J]. Renewable and Sustainable Energy Reviews, 2021, 136: 110419.

[5] XU Y Y, ÇOLAK S, KARA E C, et al. Planning for electric vehicle needs by coupling charging profiles with urban mobility[J]. Nature Energy, 2018, 3(6): 484-493.

[6] BAO Z Y, HU Z C, KAMMEN D M, et al. Data-driven approach for analyzing spatiotemporal price elasticities of EV public charging demands based on conditional random fields[J]. IEEE Transactions on Smart Grid, 2021, 12(5): 4363-4376.

[7] 祁宇轩, 范俊岩, 吴定会, 等. 基于相似日与BiLSTM组合的短期电力负荷预测[J]. 控制理论与应用, 2024, 41(12): 2304-2314.QI Y X, FAN J Y, WU D H, et al. Short term power load forecasting based on the combination of similar days and BiLSTM[J]. Control Theory &Applications, 2024, 41(12): 2304-2314.

[8] 丁乐言, 柯松, 张帆, 等. 考虑出行需求和引导策略的电动汽车充电负荷预测[J]. 电力建设, 2024, 45(6): 10-26. DING L Y, KE S, ZHANG F, et al. Forecasting of electric-vehicle charging load considering travel demand and guidance strategy[J]. Electric Power Construction, 2024, 45(6): 10-26.

[9] 李宏伟, 宋玉峰, 李帅兵, 等. 基于ArcGIS路网结构与交通拥挤度分析的电动汽车充电负荷预测方法[J]. 电网技术, 2025, 49(5): 1920-1930.LI H W, SONG Y F, LI S B, et al. Electric vehicle charging load prediction based on ArcGIS road network structure and traffic congestion analysis[J]. Power System Technology, 2025, 49(5): 1920-1930.

[10] 龙雪梅, 杨军, 吴赋章, 等. 考虑路网-电网交互和用户心理的电动汽车充电负荷预测[J]. 电力系统自动化, 2020, 44(14): 86-93.LONG X M, YANG J, WU F Z, et al. Prediction of electric vehicle charging load considering interaction between road network and power grid and user′s psychology[J]. Automation of Electric Power Systems, 2020, 44(14): 86-93.

[11] 张美霞, 孙铨杰, 杨秀. 考虑多源信息实时交互和用户后悔心理的电动汽车充电负荷预测[J]. 电网技术, 2022, 46(2): 632-645. ZHANG M X, SUN Q J, YANG X. Electric vehicle charging load prediction considering multi-source information real-time interaction and user regret psychology[J]. Power System Technology, 2022, 46(2): 632-645.

[12] XIONG J L, PENG T, TAO Z H, et al. A dual-scale deep learning model based on ELM-BiLSTM and improved reptile search algorithm for wind power prediction[J]. Energy, 2023, 266: 126419.

[13] 孙庆凯, 王小君, 张义志, 等. 基于LSTM和多任务学习的综合能源系统多元负荷预测[J]. 电力系统自动化, 2021, 45(5): 63-70. SUN Q K, WANG X J, ZHANG Y Z, et al. Multiple load prediction of integrated energy system based on long short-term memory and multi-task learning[J]. Automation of Electric Power Systems, 2021, 45(5): 63-70.

[14] 赵倩, 郑贵林. 基于WD-LSSVM-LSTM模型的短期电力负荷预测[J]. 电测与仪表, 2023, 60(1): 23-28.ZHAO Q, ZHENG G L. Short-term load forecasting based on WD-LSSVM-LSTM model[J]. Electrical Measurement &Instrumentation, 2023, 60(1): 23-28.

[15] 杨龙, 吴红斌, 丁明, 等. 新能源电网中考虑特征选择的Bi-LSTM网络短期负荷预测[J]. 电力系统自动化, 2021, 45(3): 166-173.YANG L, WU H B, DING M, et al. Short-term load forecasting in renewable energy grid based on bi-directional long short-term memory network considering feature selection[J]. Automation of Electric Power Systems, 2021, 45(3): 166-173.

[16] 谢文举, 薛贵军, 白宇. 基于PSO-CNN-LSTM的短期热负荷预测模型[J]. 计算机仿真, 2024, 41(4): 102-107,278.XIE W J, XUE G J, BAI Y. Short-time heating load prediction model based on PSO-CNN-LSTM[J]. Computer Simulation, 2024, 41(4): 102-107,278.

[17] 保拉, 李庆兵, 侯保建, 等. 基于改进多核极限学习机算法的电力负荷预测方法研究[J]. 电工技术, 2024(22): 39-42.BAO L, LI Q B, HOU B J, et al. Modified multi-kernel extreme learning machine-based electric load prediction[J]. Electric Engineering, 2024(22): 39-42.

[18] 刘翘楚, 王杰, 秦文萍, 等. 基于嵌套优化的GA-PSO-BP神经网络短期风功率预测方法研究[J]. 电网与清洁能源, 2025, 41(2): 138-146.LIU Q C, WANG J, QIN W P, et al. Research on short-term wind power prediction methods based on GA-PSOPB neural network with nested optimization[J]. Power System and Clean Energy, 2025, 41(2): 138-146.

[19] 陈振宇, 杨斌, 阮文俊, 等. 基于LSTM神经网络的短期电能负荷预测[J]. 电力大数据, 2021, 24(4): 8-15.CHEN Z Y, YANG B, RUAN W J, et al. Short-term power load forecasting based on LSTM neural network[J]. Power Systems and Big Data, 2021, 24(4): 8-15.

[20] 高明,郝妍.基于BiLSTM网络与误差修正的超短期负荷预测[J].综合智慧能源,2023,45(1):31-40.GAO P F, HAO Y. Ultra-short-term load forecasting based on BiLSTM network and error correction[J]. Integrated Intelligent Energy, 2023, 45(1):31-40.

[21] 昌志阳,朱飞,高斯佳,等.应用CNN-BiLSTM-SE Attention模型预测电池超声测厚间隙[J].中国测试,2025,51(9):158-166.CHANG Z Y, ZHU F, GAO S J, et al. Gap prediction for electromagnetic ultrasonic thickness measurement based on CNN-BiLSTM-SE Attention model[J]. China Measurement &Test, 2025,51(9):158-166.

[22] 熊鹏飞,张赛,王宪军.基于波动特征提取的CNN-BiLSTM光伏功率短期预测[J].热能动力工程,2025,40(7):180-189.XIONG P F, ZHANG S, WANG X J. Short-term prediction of CNN-BiLSTM photovoltaic power based on fluctuation feature extraction[J]. Journal of Engineering for Thermal Energy and Power, 2025, 40(7):180-189.

[23] 任建吉,位慧慧,邹卓霖,等.基于CNN-BiLSTM-Attention的超短期电力负荷预测[J].电力系统保护与控制,2022,50(8):108-116.REN J J, WEI H H, ZOU Z L, et al. Ultra-short-term power load forecasting based on CNN-BiLSTM-Attention[J]. Power System Protection and Control, 2022, 50(8):108-116.

[24] 潘婧, 柴洪峰, 孙权, 等. 超高维删失数据的联合特征筛选方法研究[J]. 系统工程理论与实践, 2023, 43(1): 169-190.PAN J, CHAI H F, SUN Q, et al. Joint feature screening method for ultrahigh dimensional censored data[J]. Systems Engineering-Theory &Practice, 2023, 43(1): 169-190.

[25] 柯松, 陈磊, 杨军, 等. 基于半动态交通流模型的电动汽车出行引导策略[J]. 电网技术, 2023, 47(8): 3362-3380. KE S, CHEN L, YANG J, et al. Electric vehicles travel guidance strategy based on semi-dynamic traffic flow state model[J]. Power System Technology, 2023, 47(8): 3362-3380.

[26] YU E B, XU G J, HAN Y, et al. An efficient short-term wind speed prediction model based on cross-channel data integration and attention mechanisms[J]. Energy, 2022, 256: 124569.

[27] 周颖, 乔婧, 陈宋宋, 等. 基于麻雀搜寻优化算法的代理购电用户用电量多维度协同校核[J]. 电网技术, 2025, 49(2): 604-612.ZHOU Y, QIAO J, CHEN S S, et al. Multi-dimensional collaborative checking of power consumption of purchasing agent users based on ISSA optimization algorithm[J]. Power System Technology, 2025, 49(2): 604-612.

Charging Load Prediction for Electric Vehicle Based on Parameter Optimization and Attention Mechanism

HAN Tao1, DING Leyan2, MA Ming1, YAN An3, PAN Zhongqi3, YAN Jun3, YANG Jun2

(1.China Yangtze Power Co., Ltd., Beijing 100032; 2.School of Electrical Engineering, Wuhan University, Wuhan 430072;3.China Three Gorges Corporation, Wuhan 430010)

Abstract: In the context of large-scale electric vehicle (EV) charging load of to the distribution network, the spatio-temporal uncertainty of EV charging behavior makes it difficult for traditional prediction methods to accurately describe its dynamic characteristics, which directly affects the effectiveness of distribution network operation optimization and charging scheduling decisions. In order to solve the problem of strong dependence on the timing of EV charging load and complex influencing factors, a charging load prediction method for EVs based on parameter optimization and attention mechanism (AM) was proposed. Firstly, the input feature data were screened by Pearson for feature screening (FS). Then, based on the CNN network, an improved AM network was introduced to construct the CNNAM network. Furthermore, an EV charge load CNNAM-BiLSTM combined forecasting model was proposed, which used a multi-layer convolution layer, AM, and two-way structure of BiLSTM to improve the mining of charge load characteristic data and time series, and sparrow search algorithm (SSA) to adaptively optimize the parameters in the forecasting model. Finally, based on the actual load data of charging stations in Wuhan, the SSA-FS-CNNAM-BiLSTM combination forecasting model proposed was compared with the traditional deep learning forecasting model and combination forecasting model. The results showed that the proposed forecasting method achieved better forecasting results and had stronger adaptability in the complex dynamic environment.

Keywords: electric vehicle; load forecasting; deep learning; combination forecasting; feature selection; parameter optimization

收稿日期:2025-11-02;修订日期:2025-12-23

基金项目:国家自然科学基金资助项目(51977154)

作者简介:韩涛(1987—),男,湖北武汉人,中国长江电力股份有限公司高级工程师,主要从事智能化电力系统的物联网技术应用的研究,Email:han_tao@ctg.com.cn。

引用本文:韩涛,丁乐言,马明,等. 基于参数优化和注意力机制的电动汽车充电负荷预测[J]. 郑州大学学报(工学版),2026,47(2):85-93. (HAN T, DING L Y, MA M,et al. Charging load prediction for electric vehicle based on parameter optimization and attention mechanism[J]. Journal of Zhengzhou University(Engineering Science), 2026, 47(2):85-93.)

文章编号:1671-6833(2026)02-0085-09

中图分类号: TM73

文献标志码:A

doi: 10.13705/j.issn.1671-6833.2026.02.001