增强接地感知的预调式消弧线圈阻尼电阻优化方法

张建宾1, 王俊诚2, 董 轩1, 李景丽2, 张会杰3

(1.国网河南省电力公司电力科学研究院,河南 郑州 450006;2.郑州大学 电气与信息工程学院,河南 郑州,450001;3.中建投工程技术有限公司,河南 郑州 450046)

摘 要: 阻尼电阻作为预调式消弧线圈的关键组件,现有设定方法偏重抑制串联谐振过电压和防止正常运行保护误动,导致高阻接地故障时中性点位移电压不易越过告警阈值,致使选线装置无法投入。为提升谐振接地系统的高阻接地感知灵敏度,首先,定量分析系统正常运行特性与高阻接地故障特征,以正常运行中性点位移电压不越限和高阻接地时其可靠告警为边界条件,推导串、并联阻尼电阻临界值的计算公式;其次,系统分析脱谐度、过渡电阻、系统不平衡度、电容电流等参数对临界值的影响,提出阻尼电阻的选取原则与方法;最后,针对某典型谐振接地系统高阻接地感知能力不足的问题,采用所提优化方法,将原15 Ω串联阻尼电阻调整为串联5.05 Ω或并联346.37 Ω电阻,优化后的阻尼电阻在有效抑制串联谐振过电压的同时,确保高阻接地故障时位移电压可靠越限,将系统耐过渡电阻能力提升至2.78 kΩ,且并联阻尼方式效果更优。该方法仅需利用消弧线圈常规在线监测数据即可实现,无须额外检测设备,具有较强的可行性与经济性。

关键词:谐振接地系统; 预调式消弧线圈; 阻尼电阻; 高阻接地故障; 中性点位移电压

为限制接地故障电流,中压配电网常采用谐振接地方式补偿系统对地电容电流[1-3],预调式消弧线圈是常用的配置方式之一[4]。正常运行时,消弧线圈依据实测电容电流调谐至谐振点附近,利用阻尼电阻抑制串联谐振[5];单相接地故障时,消弧线圈快速切除阻尼电阻,抬升中性点位移电压以启动选线装置[6]。目前谐振接地系统为保证供电可靠性,一般以“有效抑制串联谐振,防止选线装置误动”[7-9]为原则设定阻尼电阻,但在高阻接地故障频发地区[10],现有原则易导致单相接地故障时中性点位移电压低于选线设备启动阈值,使得故障线路无法及时隔离;另一方面,接入中性点支路的阻尼电阻无法被及时切除,长时间承受中性点电流易使其升温烧毁[11-13]

为了在确保谐振接地系统正常运行的前提下尽可能提升系统对高阻故障感知的灵敏度,许多学者进行了相关研究,胡航帆[14]使用阻值随位移电压动态变动的非线性电阻替代传统固定阻值的阻尼电阻,系统正常运行时呈现高阻态,抑制串联谐振,单相接地时自动过渡为低阻态,抬升位移电压方便选线装置投入,但其伏安特性设定依赖多次现场试验,较为烦琐;刘健等[15]对零序电压启动值进行重新整定,在躲开各种运行方式下中性点位移电压最大值的基础上尽可能降低零序电压启动值,但在高电容电流系统中,需要增设主变压器并迁移部分线路至其他母线才能达到目标;Hojatpanah等[16]、王尊贤等[17]针对高阻接地故障时保护拒动率高的问题,增加了参数识别、时频域分析、数据驱动等算法进行高阻接地检测,但此类方法需要额外安装硬件设备,且采集的暂态信号易受噪声干扰,识别方法依赖训练样本或特定配电网结构参数,泛用性与经济性不高。

为此,本文首先以系统正常运行不越限和高阻接地可靠越限为双边界条件,推导出串/并联阻尼电阻临界阻值计算公式,随后分析脱谐度、电容电流等参数对阻尼电阻临界取值的影响,提出阻尼电阻选取原则与流程。仿真结果表明,本文所提阻尼电阻临界阻值计算公式误差在10%以内,且所提阻尼电阻阻值优化方法可在保障正常运行可靠性的前提下,提升系统耐过渡电阻能力至2.78 kΩ,显著优化了谐振接地系统在单相高阻接地故障下的响应特性,并且基于常规在线监测数据即可实现阻尼电阻的优化设定,无须额外检测设备,为提升谐振接地系统高阻接地故障感知灵敏度提供了低成本的工程解决方案。

1 预调式消弧线圈阻尼电阻临界值

1.1 正常运行状态下阻尼电阻临界值推导

1.1.1 谐振接地系统正常运行串联谐振等值电路

中国架空配电线路三相换位率较低,不对称度约为1.5%,缆线混合线路一般在0.5%~1.5%。忽略对地电导,系统不对称度ρ 可定义为[18]

(1)

α=ej120°

(2)

式中:CACBCC 分别为线路三相对地电容;α为旋转因子。

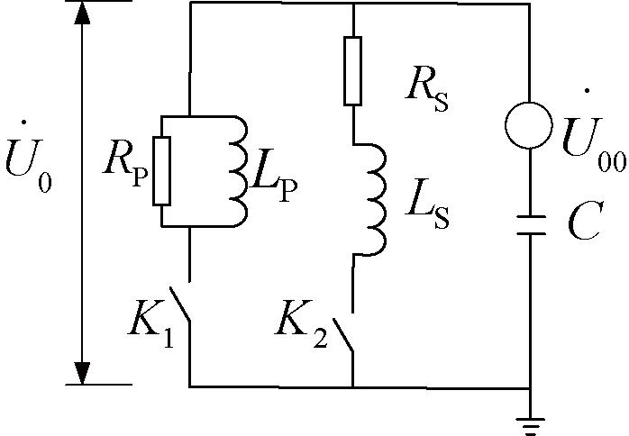
预调式消弧线圈为快速熄弧,一般工作在谐振点附近,此时其电感与线路的对地电容构成串联谐振[19]。接入阻尼电阻以提高系统阻尼率来抑制谐振,防止中性点位移电压超过告警阈值而造成绝缘监测系统误报。其串联谐振等值电路图[7]如图1所示。

图1 串联谐振等值电路图
Figure 1 Series resonance equivalent circuit diagram

图1中,U00 为系统不对称电压;C为对地总电容;U0为中性点位移电压;K1闭合为消弧线圈并联阻尼电阻形式,对应电感Lp与电阻Rp;K2闭合则为串联阻尼电阻形式,对应电感Ls与电阻Rs

1.1.2 并联阻尼临界阻值推导

采用并联阻尼电阻时,中性点正常运行位移电压[20]

(3)

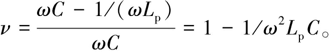
式中:ω为角频率;U00=ρUΦ;v为系统的脱谐度:

(4)

d为并联阻尼电阻附加的阻尼率:

(5)

式中:UΦ为系统额定相电压;IC为系统的电容电流,IC=UΦωC

为防止系统误发接地告警信号,应保证中性点位移电压有效值不高于零序电压告警阈值[15],即

(6)

式中:ks为零序电压告警阈值百分比,多为15%。

(7)

满足中性点位移电压要求的并联阻尼电阻为

(8)

式中:Rpmax为并联阻尼电阻可取的最大值。

1.1.3 串联阻尼临界阻值推导

串联阻尼电阻与并联阻尼电阻之间可互相换算[21],如图2所示。

图2 串、并联阻尼电阻转换等效电路图
Figure 2 Series and shunt damping resistor conversion equivalent circuit diagram

根据导纳相等原理,可得

(9)

解得

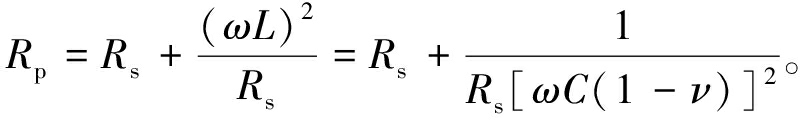
ωLp=ωLs+Rs2/(ωLs)=ωLs+Rs2ωC(1-v)。

(10)

式(10)中Rs2ωC(1-v)数值远小于ωLs数值,为简化计算,可忽略Rs2ωC(1-v),认为换算至串联阻尼电路的消弧线圈电感值与并联阻尼的近似一致,即

LpLs=L;

(11)

(12)

将式(12)代入式(5)可得由串联阻尼电阻附加的阻尼率ds

(13)

将式(13)代入式(7),可得

(14)

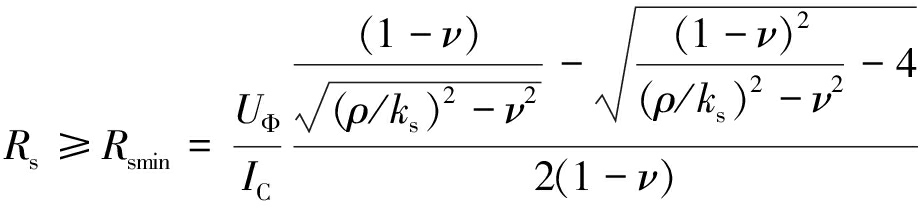
解得正常运行时,保证中性点位移电压不越限的串联阻尼阻值取值范围为

(15)

式中:Rsmin为串联阻尼电阻可取的最小值。

经分析,仅当过补偿度满足式(16)时,阻尼电阻才有实数值解。即在低过补偿度下,仅凭谐振点偏离无法抑制串联谐振,需接入阻尼电阻。

νρ/ks

(16)

1.2 考虑提升高阻接地感知能力的阻尼电阻临界阻值推导

1.2.1 谐振接地系统单相接地并联谐振特性分析

图3为单相接地故障时系统的简化电路,EAEBEC为系统的三相电压,O为系统中性点,L为消弧线圈电感,R为并联阻尼电阻,Rd为过渡电阻。

图3 谐振接地系统单相接地等值电路图
Figure 3 Resonant grounding system single-phase grounding equivalent circuit diagram

根据图3可得中性点位移电压为

(17)

(18)

式中:dd为过渡电阻阻尼率。

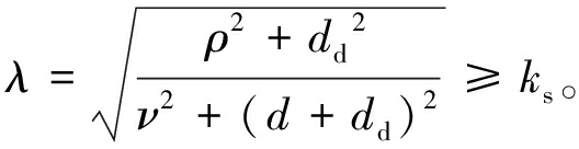
则中性点位移电压百分比λ

(19)

可知,由线路原有不对称度引起,可表示为

(20)

(21)

由接地支路的过渡电阻引起,可表示为

(22)

(23)

由于tan αtan β=-1,故两部分互相垂直,则当单相接地故障时,满足零序电压告警的中性点位移电压百分比λ可表示为

(24)

1.2.2 串、并联阻尼临界阻值推导

根据式(4)、式(5)与式(17),计算并联阻尼电阻的合理取值范围为

(25)

式中:Rpmin为并联阻尼电阻可取的最小值。

不妨令

(26)

根据式(26),解得串联阻尼电阻的取值范围为

(27)

式中:Rsmax为串联阻尼电阻可取的最大值。

1.3 阻尼电阻阻值选取原则

若要保证系统在正常运行保护不误动的前提下同时具备一定的耐过渡电阻能力,则并联阻尼与串联阻尼电阻分别位于以下取值范围[21]:

RpminRpRpmax;

(28)

RsminRsRsmax

(29)

阻尼电阻的阻值必须控制在临界范围内,否则将导致正常运行时误报或接地故障时漏判。为应对脱谐度与电容电流波动,阻值宜选取在范围中点附近,以确保足够的运行裕度。综上,可按照以下步骤对阻尼电阻的阻值进行检查与优化。

(1)获取系统脱谐度、电容电流、不对称度、选线装置启动阈值等参数。

(2)以正常运行时位移电压恰好不越限为边界条件计算RsminRpmax

(3)选定期望达到的耐过渡电阻能力RF

(4)当系统发生阻值为RF的单相接地故障时,以中性点位移电压越限为条件,计算RsmaxRpmin

(5)将阻尼电阻调整至靠近上下限临界阻值的中点。

2 系统参数对阻尼电阻取值范围的影响

以高电容电流为背景设置系统不对称度ρ、系统电容电流IC、脱谐度v、过渡电阻阻尼率dd参数,讨论不同情况下阻尼电阻可取范围的变化情况。

2.1 过补偿度对阻尼电阻取值范围的影响

设定系统电容电流为150 A,系统不对称度为1.5%,零序电压告警值为15%相电压,过补偿度在6%以内(保证补偿后残流不高于10 A)。分别绘制正常运行和1 500 Ω高阻接地、串并联阻尼电阻临界阻值与系统过补偿度的变化关系曲线,如图4所示。由图4可知,过补偿度升高抑制中性点位移电压,虽有利于系统正常运行但不利于高阻接地感知。正常运行时适当降低阻尼率也可保证位移电压不越限;但高阻接地时必须降低阻尼率才能保证位移电压顺利越限。

图4 阻尼电阻临界阻值与系统过补偿度的变化关系曲线
Figure 4 Relationship between the critical resistance of damping resistance and system overcompensation degree

2.2 电容电流对阻尼电阻取值范围的影响

行业标准规定电容电流超过100 A时应采用小电阻接地系统[22],但实际因消弧线圈扩容或新建变电站落地难等原因导致谐振接地系统部分供电半径较大的线路电容电流已接近200 A[23]。为贴近实际工况,以不对称度1.5%、4%过补偿系统为例,针对系统正常运行、1 500 Ω高阻接地两种场景,绘制系统电容电流在30~200 A,串、并联阻尼电阻临界阻值与系统电容电流的变化关系曲线,如图5所示。由图5可知,系统电容电流增大时,正常与高阻接地故障工况下的串、并联阻尼电阻临界阻值均逐渐减小,原因如下:

图5 阻尼电阻临界阻值与系统电容电流的变化关系曲线
Figure 5 Relationship between the critical resistance of damping resistance and system capacitance current

(1)并联阻尼的阻尼率与电容电流成反比,电容电流增大时,相同阻值的阻尼抑制效果减弱,需降低阻值以维持抑制效果,防止中性点位移电压越限;高阻接地时,过渡电阻附加阻尼率随电容电流增大而减小,此时适当减小并联阻尼阻值,提高其阻尼率,也可将中性点位移电压维持在阈值以上。

(2)由式(13)可知,串联阻尼的阻尼率与电容电流呈对勾函数倒数的关系,拐点为(UΦ/Rs(1-v),(1-v)/2),以过补偿4%、串联阻尼10 Ω系统为例,其阻尼电阻临界阻值与系统电容电流的变化关系曲线如图6所示。由图6可知,一般谐振接地系统的电容电流位于曲线拐点前,随系统电容电流升高,相同串联阻尼对应的阻尼率增大,对串联谐振抑制作用增强,可适当下调阻值也可保证中性点位移电压不越限。

图6 串联阻尼电阻的阻尼率与系统对地电容电流关系图
Figure 6 Series damping resistor damping ratio versus system earth capacitance current relationship graph

由图5还可知,电容电流升高会使阻尼电阻合理取值范围迅速收紧。以本节系统为例,电容电流由50 A升高至150 A时,并联阻尼取值范围从261~1 389 Ω收缩为234~463 Ω,串联阻尼取值范围从11.36~79.78 Ω收缩为3.41~6.79 Ω,该范围内电阻极易受外界干扰,导致选线装置误动或拒动。因此,对于系统电容电流波动较大的系统,宜选用取值范围较宽的并联阻尼电阻以减少保护误动风险;对于电容电流超标的系统,仅依靠调节阻尼电阻来提升过渡电阻感知能力的效果有限,需结合其他故障识别方法共同提升可靠性。

2.3 系统不对称度对阻尼电阻取值范围的影响

设定系统电容电流为150 A,过补偿度为4%,系统不对称度在0~2%内变化;分别绘制正常运行与1 500 Ω高阻接地、阻尼电阻临界阻值与系统不对称度的变化关系曲线,如图7所示。由图7可知,系统正常运行不对称度低于0.6%,即ρ<ksv时,满足阻尼电阻计算公式无解条件,表示此时无须启用阻尼电阻即可将中性点位移电压限制在15%相电压的门槛以下。

图7 阻尼电阻临界阻值与系统不对称度的变化关系曲线
Figure 7 Relationship between the critical resistance of damping resistance and degree of system asymmetry

系统不对称度的增加抬升中性点位移电压,在以架空线路为主、不对称度高的农村配电网中,正常运行时需更高的阻尼率防止选线装置误动;而在以电缆线路为主、不对称度低的城市配电网中,中性点位移电压更难越过整定值,需降低阻尼电阻阻尼率。

2.4 过渡电阻对阻尼电阻合理取值范围的影响

以电容电流为150 A、不对称度1.5%、4%过补偿的系统为例,绘制串、并联阻尼电阻临界阻值与过渡电阻的变化曲线,如图8所示。由图8可知,高阻接地的中性点位移电压抬升有限,需降低阻尼率,对应串联阻尼最大值下降、并联阻尼最小值上升。随着过渡电阻上升,阻尼电阻的取值范围快速收缩。过渡电阻由500 Ω上升至1 500 Ω时,并联阻尼阻值的取值范围下降39%,串联阻尼取值范围下降80%;若以耐过渡电阻2 000 Ω为目标,串联阻尼的允许区间仅余2.09 Ω,远低于并联阻尼。因此,若追求更高的耐过渡电阻能力,可将串联阻尼更换为并联阻尼,以降低系统参数变动时保护的误动率。

图8 阻尼电阻临界阻值与过渡电阻的变化关系曲线
Figure 8 Relationship between the critical resistance of damping resistance and transition resistance

3 算例分析与仿真验证

3.1 算例介绍

某110 kV/10.5 kV系统实测电容电流为150 A,线路不对称度为1.45%,采用过补偿度4%的预调式消弧线圈与15 Ω的串联阻尼电阻。正常运行下系统零序电压为234 V,低于15%相电压报警门槛;但仿真发现其耐过渡电阻极限值仅为665.98 Ω。为兼顾高阻接地感知灵敏度与运行可靠性,使用本文提出的阻尼电阻计算方法对其进行优化。

3.2 仿真模型

搭建谐振接地系统单相接地仿真模型,如图9所示。其中L1~L6为电缆线路,L7~L8为架空线路,线路参数见表1。

表1 线路阻抗参数表
Table 1 Line impedance parameter table

线路类型线路电阻/(Ω·km-1)线路电感/(mH·km-1)线路对地电容/(μF·km-1)架空0.2505.5800.008电缆2.7001.0550.290

图9 谐振接地系统单相接地仿真模型
Figure 9 Resonant grounding system single-phase grounding simulation model

设置线路3为三相对地电容不平衡线路:A、B相电容为0.29 μF/km,C相为0.35 μF/km,则系统对地电容电流为151.4 A,不对称度为1.5%。

为验证模型,切除中性点支路构造不接地系统,系统不对称电压有效值为87.4 V,不对称度为1.45%,与计算值误差为3.3%;设置金属性接地故障,故障支路电流为150.33 A,符合计算结果,此时系统零序电压有效值为6 055 V,与相电压仅相差0.1%,符合单相接地故障特征;接入消弧线圈,残余电流被迅速补偿至5 A以下。母线零序电压与故障支路电流波形图如图10所示。

图10 母线零序电压与故障支路电流波形图
Figure 10 Busbar zero-sequence voltage and faulted branch current waveform diagram

3.3 方法验证

3.3.1 单点单相高阻接地故障

计算正常运行时使中性点位移电压达到告警值的阻尼电阻临界阻值,并代入仿真模型验证中性点位移电压是否达到告警值,阻尼电阻临界阻值和仿真结果见表2。

表2 正常运行时阻尼电阻临界阻值和仿真结果
Table 2 The critical damping resistance value and simulation results during normal operation

阻尼电阻连接形式临界阻值/Ω 仿真所得中性点位移电压幅值/V与中性点位移电压告警值的误差/%串联阻尼3.311 2661.55并联阻尼459.231 2572.18

设置过渡电阻为500,1 000,1 500 Ω,计算恰好使中性点位移电压越过选线装置启动门槛的阻尼电阻值,不同过渡电阻下阻尼电阻临界阻值和仿真结果见表3。由表3可知,本文方法能较为准确地计算不同工况下的临界阻尼电阻,对应中性点位移电压仿真值与15%相电压的告警门槛值差距均在10%以内。随过渡电阻提升,串联阻尼最大取值逐渐降低、并联阻尼最小取值逐渐升高,二者都逐渐靠近正常运行下的临界取值。

表3 不同过渡电阻下阻尼电阻临界阻值和仿真结果
Table 3 The critical resistance of damping resistance with different transition resistance and simulation results

过渡电阻/Ω阻尼电阻连接形式临界阻值/Ω仿真所得中性点位移电压幅值/V位移电压告警值的误差/%500串联阻尼20.751 2284.51并联阻尼86.771 2532.571 000串联阻尼9.721 2155.52并联阻尼166.301 2393.651 500串联阻尼6.801 2056.30并联阻尼233.511 2334.12

若系统在正常运行保护不误动的前提下,在1 500 Ω单相接地故障下仍能可靠动作,可选择阻尼电阻阻值上下限的中点值,即并联阻尼346.37 Ω或串联阻尼5.05 Ω,对应中性点位移电压波形图如图11所示。可知本文方法可以满足既定目标要求。

图11 不同运行状态下中性点位移电压波形图
Figure 11 Neutral point displacement voltage waveform diagram on different operating conditions

3.3.2 多点时序性单相高阻接地故障

为验证所提方法在多点时序性单相短路故障下的有效性,设置系统依次发生单点、两点、三点单相1 500 Ω接地故障,故障发生时序如图12所示。

图12 多点单相接地故障时序图
Figure 12 Multipoint single-phase ground fault timing diagram

若要求系统具备1 500 Ω耐过渡电阻能力,结合3.3.1节计算与仿真结果,可选串联阻尼阻值5.05 Ω或并联阻尼346.37 Ω;母线零序电压在多点时序性接地故障对应的中性点位移电压波形图如图13所示。由图13可知,采用消弧线圈串联阻尼或并联阻尼情况下,故障后母线零序电压均能越过接地告警阈值,且多点接地对应的母线零序电压值高于单点接地对应的值,表明本文方法在多点时序性单相接地故障下依然有效。

图13 多点时序性接地故障对应的中性点位移电压波形图
Figure 13 the neutral point displacement voltage waveform diagram corresponding to multi-point sequential ground faults

3.3.3 系统耐过渡电阻能力分析

选定阻尼电阻值后,计算单相接地时中性点位移电压即将跌破告警值时所对应的过渡电阻,即为系统的耐过渡电阻最大值,系统耐过渡电阻极限值和仿真结果计算与仿真结果见表4。

表4 系统耐过渡电阻极限值和仿真结果
Table 4 System transition resistance limit value and simulation results

阻尼电阻连接形式及阻值耐过渡电阻最大值/kΩ仿真所得中性点位移电压幅值/V与中性点位移电压告警值的误差/%串联阻尼5.05 Ω2.151 2383.73并联阻尼346.37 Ω2.781 2314.28

由表4可知,采用消弧线圈并联阻尼电阻可一步提高系统耐过渡电阻能力,较串联阻尼提升约600 Ω,且二者对应的中性点位移电压仿真值均接近告警值,误差不超过5%,表明本文方法能较好地解决谐振接地系统3 kΩ以下单相接地故障感知问题,有利于后续选线装置及时投入,提升接地故障处理效率。

4 结论

本文提出一种预调式消弧线圈阻尼电阻优化方法,仅需利用电容电流、脱谐度等数据,无须加装设备,成本低,可有效提升高阻接地检测灵敏度,减少信号误报和漏报。主要结论如下:

(1)消弧线圈阻尼电阻过高会降低谐振接地系统耐受过渡电阻的能力。通过计算阻尼电阻的临界值并将其调整至该临界范围的中点,可有效提升系统性能。

(2)仿真与算例表明,优化后的阻尼电阻既能抑制正常运行时的串联谐振,又能在高阻接地时保证位移电压越限,将耐过渡电阻能力提高至2.78 kΩ,减少选线装置误动或拒动问题。

(3)电缆网络电容电流较大,使阻尼电阻可选范围较窄,此时可采用并联阻尼电阻以增强适应性,降低选线失误概率。

(本文受到国家电网有限公司科技项目(5400-202324553A-3-2-ZN)的支持。)

参考文献:

[1] 李景丽,任俊跃,袁豪,等.基于小波分析的配电网电弧接地故障选线方法[J].郑州大学学报(工学版), 2023, 44(5):69-76,107.LI J L, REN J Y, YUAN H, et al. Research on arc grounding fault selection method of distribution network based on wavelet analysis [J]. Journal of Zhengzhou University(Engineering Science), 2023, 44(5): 69-76,107.

[2] 龙茹悦, 黄纯, 汤涛, 等. 一种谐振接地系统的配电线路接地故障选线新方法[J]. 电力系统保护与控制, 2019, 47(21): 21-29.LONG R Y, HUANG C, TANG T, et al. Line selection method for grounding fault in resonant grounding distribution systems[J]. Power System Protection and Control, 2019, 47(21): 21-29.

[3] 刘健, 陈曦子, 张志华, 等. 基于消弧线圈调制信号相关检测的高阻单相接地选线[J]. 电力系统保护与控制, 2023, 51(1): 63-70.LIU J, CHEN X Z, ZHANG Z H, et al. High resistance single-phase grounding line selection in resonant grounding systems based on correlation detection[J]. Power System Protection and Control, 2023, 51(1): 63-70.

[4] 任明辉,胡建利,陈建军.配电网自适应接地系统与保护配置研究[J].高压电器,2018,54(8):193-198.REN M H, HU J L, CHEN J J. Research of adaptive grounding system and protection configuration in distribution systems[J]. High Voltage Apparatus, 2018,54(8):193-198.

[5] 喻锟,邹豪,曾祥君,等.谐振接地配电网对地绝缘参数双端谐振测量新方法[J].电力系统自动化, 2020, 44(12): 154-161.YU K, ZOU H, ZENG X J,et al. A novel double-terminal resonant measurement method of insulation-to-ground parameters for resonant grounding distribution network[J]. Automation of Electric Power Systems, 2020, 44(12): 154-161.

[6] 高金峰,秦瑜瑞,殷红德.基于小波包变换和支持向量机的故障选线方法[J].郑州大学学报(工学版), 2020, 41(1):63-69.GAO J F, QIN Y R, YIN H D. Fault line selection based on wavelet packet transform and support vector machine [J]. Journal of Zhengzhou University (Engineering Science), 2020, 41(1):63-69.

[7] 庞吉年.配电网谐振过电压故障分析与抑制措施研究[D].南京:东南大学,2016.PANG J N. Analysis of resonant overvoltage faults in distribution networks and research on suppression measures[D]. Nanjing: Southeast University, 2016.

[8] 韦明杰, 石访, 张恒旭, 等. 基于同步零序电流谐波群体比相的谐振接地系统高阻故障选线及区段定位方法[J]. 中国电机工程学报, 2021, 41(24): 8358-8371.WEI M J, SHI F, ZHANG H X, et al. Feeder selection and section location of high impedance fault at resonant networks based on the phase differences between the synchronous harmonics of the zero sequence currents[J]. Proceedings of the CSEE, 2021, 41(24): 8358-8371.

[9] 罗建, 夏豪, 钟加勇, 等. 基于消弧线圈补偿特性的单相接地故障选线方法[J]. 电力系统保护与控制, 2025, 53(11): 158-169.LUO J, XIA H, ZHONG J Y, et al. A single-phase ground fault line selection method based on arc suppression coil compensation characteristics[J]. Power System Protection and Control, 2025, 53(11): 158-169.

[10] 董立明,秦苏亚,张宗熙,等.谐振接地系统高阻接地故障能量机理分析[J].供用电, 2022,39(4):52-58,83.DONG L M, QIN S Y, ZHANG Z X,et al. Analysis of energy mechanism of high resistance grounding fault in resonant grounding system[J]. Distribution &Utilization, 2022,39(4):52-58,83.

[11] 高超,刘泽辉,曹栋,等.基于1DCNN-BiLSTM的电力电缆故障诊断[J].郑州大学学报(工学版),2023,44(5):86-92,83.GAO C, LIU Z H, CAO D, et al. Fault Diagnosis of Power Cable Based on 1DCNN-BiLSTM[J]. Journal of Zhengzhou University(Engineering Science), 2023,44(5):86-92,83.

[12] 刘慧林,范瑞明,程大闯,等.基于图神经网络的智能电网运行状态分析与评估[J].郑州大学学报(工学版),2024,45(6):122-128.LIU H L, FAN R M, CHENG D C, et al. Analysis and evaluation model of smart grid operation state based on graph neural network[J]. Journal of Zhengzhou University(Engineering Science), 2024,45(6):122-128.

[13] 陈洁羽,左宝峰,谈震,等.配电网单相接地快速处置装置运行情况研究[J]. 智慧电力, 2022, 50(2): 75-81.CHEN J Y, ZUO B F, TAN Z,et al. Operation analysis of rapid disposal device for single-phase grounding fault in distribution network[J]. Smart Power, 2022,50(2):75-81.

[14] 胡航帆. 预调式消弧装置存在的问题及对策[J]. 黑龙江电力,2011,33(5):378-380.HU H F. Solutions to the problems of pre-coordinated arc-suppression coil[J]. Heilongjiang Electric Power, 2011, 33(5): 378-380.

[15] 刘健,常小强,张志华,等.基于零序电压的小电流接地系统高阻单相接地检测启动性能分析及其应用[J].供用电,2023,40(9):27-35,73.LIU J, CHANG X Q, ZHANG Z H, et al. Analysis and applications of startup performance based on zero-sequence-voltage for single phase grounding fault detection of small current grounding systems[J]. Distribution &Utilization, 2023, 40(9):27-35,73.

[16] HOJATPANAH F, AJAEI F B, TIWARI H. Reliable detection of high-impedance faults using mathematical morphology[J]. Electric Power Systems Research, 2023, 216: 109078.

[17] 王尊贤, 武守远, 栾晓明.基于虚拟能量变化率的谐振接地系统高阻接地故障选线方法[J]. 电力系统自动化, 2022, 46(3): 137-146.WANG Z X, WU S Y, LUAN X M. Fault line selection method for high-impedance grounding fault of resonant grounded system based on change rate of virtual energy[J]. Automation of Electric Power Systems, 2022, 46(3): 137-146.

[18] 曾超,喻锟,曾祥君,等.并阻尼谐振接地系统对地参数测量与高阻故障选线新方法[J].电力系统保护与控制,2024,52(4):67-76.ZENG C,YU K,ZENG X J, et al. A new method for measuring ground parameters and selecting high resistance fault lines in parallel damping resonant grounding systems[J]. Power System Protection and Control,2024,52(4):67-76.

[19] ZHANG Q, MA W, LI G, et al. Fault diagnosis of power grid based on variational mode decomposition and convolutional neural network[J]. Electric Power Systems Research, 2022, 208: 107871.

[20] 刘宝稳,王晨雨,曾祥君,等.三相分布参数不对称配电线路接地故障检测与消弧技术综述[J].高电压技术,2023,49(9):3684-3695.LIU B W, WANG C Y, ZENG X J,et al. Review on the single line-to-ground fault detection and arc suppression techniques of distribution lines with asymmetric three-phase distribution parameters[J]. High Voltage Engineering, 2023,49(9):3684-3695.

[21] 朱珂,倪建,张荣华.基于主动扰动技术的谐振接地系统单相接地故障测距方法[J].电网技术, 2016, 40(6): 1881-1887.ZHU K, NI J, ZHANG R H. A new approach for fault location in resonant grounded system based on active disturbance technology[J]. Power System Technology, 2016,40(6):1881-1887.

[22] 中华人民共和国国家发展和改革委员会.自动跟踪补偿消弧线圈成套装置技术条件:DL/T 1057—2007[S].北京:中国电力出版社,2007.National Development and Reform Commission of the People′s Republic of China. Specification of arc suppressing coil apparatus with automatic follow compensation: DL/T 1057—2007[S]. Beijing: China Electric Power Press, 2007.

[23] 田凤兰,唐琪,马瑾,等.基于小波包分解的小电阻接地系统高阻接地故障检测方法[J].电瓷避雷器, 2023(1):179-190.TIAN F L, TANG Q, MA J,et al. Detection method of high impedance fault in small resistance grounding system based on wavelet packet decomposition[J]. Insulators and Surge Arresters,2023(1):179-190.

Optimisation Method for Pre-set Arc Suppression Coil Damping Resistors Enhancing Ground Fault Detection

ZHANG Jianbin1, WANG Juncheng2, DONG Xuan1, LI Jingli2, ZHANG Huijie3

(1.State Grid Henan Electric Power Research Institute, Zhengzhou 450006,China; 2.School of Electrical and Information Engineering,Zhengzhou University, Zhengzhou 450001, China; 3.Construction Investment in Engineering Technology Co., Ltd., Zhengzhou 450046,China)

Abstract: As a key component of pre-set arc suppression coil, the damping resistor is currently configured primarily to suppress series resonance overvoltage and prevent protection maloperation during normal operation. This leads to difficulty in the neutralpoint displacement voltage exceeding the alarm threshold during high-resistance ground faults, resulting in the failure to activate the line selection device. To improve the sensitivity of resonant grounding systems in detecting high-resistance ground faults, the system′s normal operation characteristics and the behavior during high-resistance ground were quantitatively analyzed faults. Using the conditions that the displacement voltage should remain within limits during normal operation and reliably trigger an alarm during a high-resistance fault as constraints, calculation formulas was derived for the critical values of series and shunt damping resistors. Then the influence of parameters such as detuning degree, transition resistance, system unbalance, and capacitive current on these critical values were systematically examined, and principles and methods were proposed for selecting damping resistors. Finally, to address the insufficient detection capability for high-resistance ground faults in a typical resonant grounding system, optimization method proposed in this paper was applied. The original 15 Ω series damping resistor was replaced with either a 5.05 Ω series resistor or a 346.37 Ω shunt resistor. The optimized damping resistor effectively suppressed series resonance overvoltage while ensuring reliable exceedance of the displacement voltage during high-resistance ground faults, thereby increasing the system′s tolerance to transition resistance to 2.78 kΩ. The shunt damping configuration demonstrated better performance. This approach could be implemented using only routine online monitoring data from the arc suppression coil, requiring no additional detection equipment, and offers strong feasibility and cost-effectiveness.

Keywords: resonant grounding system; pre-set arc suppression coil; damping resistor; high impedance grounding fault; neutral point displacement voltage

收稿日期:2025-08-17;修订日期:2025-10-26

基金项目:国家自然科学基金资助项目(52107130)

作者简介:张建宾(1989—),男,河南郑州人,国网河南省电力公司电力科学研究院高级工程师,主要从事配网接地故障处置研究,E-mail:1004435804@qq.com。

通信作者:李景丽(1983—),女,河南周口人,郑州大学副教授,博士,主要从事配电网故障处理、电力系统过电压与绝缘技术研究,E-mail:lijingli1022@zzu.edu.cn。

引用本文:张建宾,王俊诚,董轩,等. 增强接地感知的预调式消弧线圈阻尼电阻优化方法[J]. 郑州大学学报(工学版),2026,47(2):113-121. (ZHANG J B, WANG J C, DONG X,et al. Optimisation method for pre-set arc suppression coil damping resistors enhancing ground fault detection [J] Journal of Zhengzhou University(Engineering Science),2026,47(2):113-121.)

文章编号:1671-6833(2026)02-0113-09

中图分类号:TM475;TM743

文献标志码:A

doi:10.13705/j.issn.1671-6833.2026.02.019