基于改进蜣螂算法优化VMD-BiLSTM的短期光伏功率预测

蒋建东1, 常轶哲1, 徐 畅1, 郭嘉琦2, 张亦弛1

(1.郑州大学 电气与信息工程学院,河南 郑州 450001;2.国网河南省电力公司 安阳供电公司,河南 安阳 455000)

摘 要: 为了提高光伏功率短期预测精度,提出了一种融合改进蜣螂优化算法、变分模态分解(VMD)和双向长短期记忆网络(BiLSTM)的光伏功率短期预测模型。首先,构建基于VMD-BiLSTM的预测框架,通过VMD将时间序列数据分解为多个分量并输入BiLSTM进行预测,重构各分量结果以提高整体预测性能;其次,为缓解蜣螂优化算法易陷入局部最优的问题,在运行的不同阶段引入Logistic混沌映射、Levy飞行、黄金正弦策略和自适应T分布扰动等策略进行改进,提出了改进蜣螂优化算法;最后,利用改进蜣螂优化算法分别优化VMD的分解数K与惩罚因子α、BiLSTM的隐藏层大小和Dropout比例,提升了模型的学习能力并缓解了过拟合问题。通过山东和河北两个光伏电站的实际数据对所提模型进行实验,结果表明:相比于未改进的DBO-VMD-BiLSTM模型,所提模型在两个电站上的MAEMAPERMSE均最优。

关键词:光伏发电; 功率预测; 改进蜣螂优化算法; 变分模态分解; 双向长短期记忆网络

目前光伏功率预测方法主要分为物理法和统计法[1]。物理法根据天气预报数据和光伏设备的物理特性进行建模,不依赖于大量的历史数据[2-3],但预测精度可能稍显不足[4]。统计法则通过分析大量的历史数据来建立预测值与实际结果之间的映射关系,显著提升了预测精度。统计法需要充足的历史数据作为支撑,该方法包括时间序列预测法[5]、回归分析法[6]、灰色理论[7]、模糊理论[8]以及时空关联法[9]等。统计法不受物理模型复杂性的制约,因此在短期光伏功率预测领域具有广泛的应用。

近年来,深度学习技术应用在光伏功率预测领域,显著地提升了预测的精确性和效率[10]。方鹏等[11]提出了一种基于长短期记忆网络(long short-term memory, LSTM)的光伏电站发电量预测框架,在一定程度上提高了光伏电站发电量的预测精度。Liu等[12]提出了双向长短期记忆网络(bidirectional long short-term memory, BiLSTM)预测模型,该模型有效挖掘并利用了时间序列数据中的深层信息。王福忠等[13]提出了结合变分模态分解(variational mode decomposition, VMD)与LSTM的光伏功率超短期预测模型。朱菊萍等[14]构建了基于VMD-BiLSTM的预测模型,通过VMD技术对光伏时间序列信号进行精细的模态分解,精准地抽取关键模态特征,从而进一步提升了预测的精确度。然而该模型中分解数K和惩罚因子α这两个关键参数的选择问题在一定程度上成为制约模型预测精度进一步提升的因素。针对该问题,刘杰等[15]采用蜣螂优化算法(dung beetle optimizer, DBO)对VMD中分解数K和惩罚因子α进行寻优,并取得了一定的效果。

基于信号分解的预测框架与深度学习模型的结合已成为主流方法,然而分解参数的选择多依赖经验判断,且模型参数优化常采用传统智能算法,在实际应用中面临全局探索能力与局部开发能力不平衡的问题,易陷入局部最优并导致预测精度受限[16]。为了解决这一问题,本文提出了一种融合改进蜣螂优化算法(improved dung beetle optimizer, IDBO)、VMD和BiLSTM的光伏发电功率短期预测模型IDBO-VMD-BiLSTM。首先,构建VMD-BiLSTM预测框架,通过VMD将时间序列数据分解为多个分量并输入到BiLSTM中进行预测,重构各分量结果以降低噪声干扰,提高整体预测性能;其次,在DBO运行的不同阶段引入Logistic混沌映射、Levy飞行、黄金正弦策略和自适应T分布扰动等策略进行改进,提出了IDBO,缓解了DBO易陷入局部最优的问题;最后,利用IDBO分别优化VMD的分解数K与惩罚因子α、BiLSTM的隐藏层大小和Dropout比例,增强了模型的学习能力,缓解了过拟合问题。

1 基于VMD-BiLSTM的功率预测框架

1.1 变分模态分解(VMD)

VMD可精准分离信号各成分,各成分具有独立频率与带宽,通过希尔伯特变换及高斯平滑技术降噪并确定每个成分的带宽。

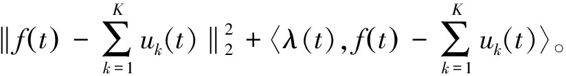
对光伏时间序列信号进行分解的数学表达式[17]

(1)

式中:K为分量总数;uk(t)为第k个模态分量;ωk为第k个模态的中心频率;δ(t)为Dirac分布函数;*为卷积运算符;L2范数的平方;f(t)为原始信号。

利用拉格朗日乘子λ和惩罚因子α将上述问题转换为无约束问题:

L({uk},{ωk},λ)=

(2)

式中:〈·,·〉为内积运算。

1.2 双向长短期记忆网络(BiLSTM)

BiLSTM是在LSTM的基础上发展而来的一种神经网络结构,其结构如图1所示。

图1 BiLSTM结构示意图
Figure 1 Schematic diagram of BiLSTM structure

同一个神经元的输出连接两个LSTM细胞,在正向和反向产生两个隐藏状态,其公式[12]

hf=f(wf1xt+wf2ht-1);

(3)

hb=f(wb1xt+wb2ht+1)。

(4)

输出为

yi=g(wo1hf+wo2hb)。

(5)

式中:fg为激活函数;w为权重;x为输入;h为隐藏状态。

在BiLSTM训练中,采用Dropout技术随机“关闭”部分神经元,减少相互依赖,可有效防止过拟合,提升模型在新数据上的准确性和稳定性[18]

VMD首先将非平稳的光伏功率序列分解为多个频率聚焦的本征模态分量(IMF),有效分离噪声、趋势及周期特征;其次,针对各IMF的特性差异,BiLSTM利用双向时序学习能力独立建模分量的局部时序规律,避免特征耦合干扰;最后,将各分量预测结果重构为完整功率值。该框架通过VMD化解数据非平稳性、BiLSTM强化时序特征提取,从而显著提升预测鲁棒性与准确性[14]

2 蜣螂优化算法的改进

2.1 蜣螂优化算法(DBO)

DBO通过模拟蜣螂滚粪球过程中的自然行为实现优化求解。蜣螂在滚动粪球时,会根据光源强弱动态调整滚动路径,结合环境扰动与群体经验修正移动轨迹。在遇到障碍物时,会跳起螺旋舞蹈,沿切线方向重新定位以绕开阻碍。在筛选产卵区域时,以当前最佳位置为锚点,随着时间推移逐步收缩活动边界,如同用触角丈量土地般精准锁定安全区域[19]

区域被确定后,雌性蜣螂每次产一枚卵,产卵区域动态调整,卵球的位置也动态变化[19]:

Bi(t+1)=X*+b1·(Bi(t)-Lb*)+b2·(Bi(t)-Ub*)。

(6)

式中:X*为当前最优位置;Lb*Ub*分别为区域下界和上界;Bi(t)为第i个卵球在第t次迭代的位置信息;b1b2为1×D的随机向量中的元素,相互独立,D为优化问题的维度。

幼卵出生后,需要设置最佳觅食区界[19]:

Lbb=max(Xb·(1-R),Lb);

Ubb=min(Xb·(1+R),Ub)。

(7)

式中:Xb为全局最优位置;UbbLbb为最佳觅食区上下界;R∈(0,1)为收缩因子。

小蜣螂位置更新[19]:

xi(t+1)=xi(t)+C1(xi(t)-Lbb)+C2(xi(t)-Ubb)。

(8)

式中:xi(t)为第i个小蜣螂第t次迭代的位置信息;C1为随机数,服从高斯分布;C2为(0,1)内的随机向量中的元素。

蜣螂群中有偷盗行为,偷窃蜣螂位置更新为[19]

(9)

式中:为第i个偷窃蜣螂第t次迭代的位置信息;g为大小为1×D的服从高斯分布随机向量中的元素;S为常量。

2.2 改进蜣螂优化算法(IDBO)

DBO算法面临着全局探索与局部开发能力失衡,可能易陷入局部最优解的困境[16]。为缓解这一问题,在算法运行的不同阶段引入以下改进策略。

2.2.1 Logistic混沌映射(初始化阶段)

Logistic混沌映射具有经典的混沌特性,尤其适用于快速分布种群初始位置。其公式为

xn+1=rxn(1-xn)。

(10)

式中:r为控制参数,当r=4时,Logistic映射进入混沌状态,生成具有较好随机性和混沌性的序列。

Logistic混沌映射简单高效,但分布不均匀,在局部细化时可能不够平滑。

2.2.2 Levy飞行策略(全局搜索阶段)

Levy飞行是一种跳跃式随机游走模型,具有有效进行全局搜索的特点,能避免陷入局部最优[20]。蜣螂收集粪球靠环境导航,模仿者应广泛探索避免陷入局部最优。传统的全局搜索依赖简单的随机步长,而Levy飞行则通过随机生成长步幅跳跃,能够在解空间中更广泛地进行探索,特别适合远距离搜索。

蜣螂更新个体位置的公式修改为

Xit+1=Xit+λ·Levy(β)。

(11)

式中:λ为步长因子。

Levy(β)=u/|v|1

(12)

式中:uN(0,σ2);vN(0,1)。

(13)

式中:β∈(1,3],通常取1.5。

2.2.3 黄金正弦策略(局部开发阶段)

为了避免过于频繁地执行远距离跳跃(全局搜索),保留更多的局部优化能力,在DBO算法中引入了黄金正弦策略。算法临近全局最优时,需精细局部搜索。结合黄金分割比例与正弦波动,促使个体围绕最优解周期振荡,细化搜索过程。在DBO的精细化局部搜索过程中,个体位置的更新引入黄金正弦策略,公式为

Xit+1=Xbest+δ·sin(φ·t)。

(14)

式中:Xbest为当前的全局最优解;δ为缩放因子;φ为黄金比例,使个体围绕最优解进行正弦波振荡。

2.2.4 自适应T分布扰动策略(优化后期阶段)

当蜣螂接近较优解时,它们的运动变得更细致谨慎。模仿蜣螂调整路径,开始局部优化。此阶段,自适应T分布扰动策略施加较大扰动,防止陷入局部最优;且随迭代推进,自适应调整自由度,逐步降低扰动强度,优化搜索精度。个体位置更新时,引入自适应T分布扰动,公式表达如下:

Xit+1=Xit+γT(ν)。

(15)

式中:T(ν)为T分布随机数;ν随迭代次数自适应调整;γ为扰动步长。

IDBO算法流程图如图2所示。

图2 改进蜣螂优化算法流程图
Figure 2 Flow chart of improved dung beetle optimization algorithm

3 光伏功率短期预测模型

3.1 模型构建

VMD中的模态数K和惩罚因子α是影响分解效果的关键参数。K过小可能丢失信息,过大则易引入噪声;惩罚因子α控制模态带宽,过小易混叠,过大则可能损失特征[15]。BiLSTM中的隐藏层大小和Dropout比例是影响模型性能的重要参数。隐藏层过小易欠拟合,过大则增加计算负担和过拟合风险;Dropout比例较低可能不足以有效正则化,较高可能削弱模型的学习能力[18]

合理设置以上参数有助于在复杂度与泛化能力之间取得平衡,提升预测精度与鲁棒性。为此,本文构建了基于IDBO-VMD-BiLSTM的光伏功率短期预测模型,IDBO-VMD-BiLSTM预测模型流程图如图3所示。

图3 IDBO-VMD-BiLSTM预测模型流程图
Figure 3 Flowchart of the IDBO-VMD-BiLSTM prediction model

IDBO-VMD-BiLSTM具体步骤如下。

步骤1 对原始数据进行预处理,包括异常值检测、异常值修复、数据归一化等,同时将数据集划分为训练集、验证集和测试集。

步骤2 在训练集上使用IDBO算法优化VMD的模态数K和惩罚因子α,用优化后的Kα分解训练集、验证集、测试集,得到各自的分量,并按照频率分量将数据对齐。

步骤3 将训练集和验证集的信号序列输入IDBO-BiLSTM模型中,进行预测模型训练。

步骤4 将测试集的信号序列输入步骤3中训练好的模型中,得到各个分量的预测结果,将各个分量的预测结果叠加得到最终的功率预测结果。

步骤5 将结果进行反归一化,还原到原始尺度。

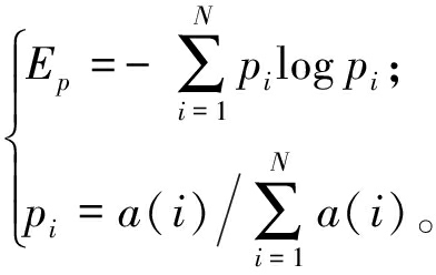
在优化过程中,选取以下适应度函数:

(1)VMD部分以各模态包络熵的平均值为适应度,熵值越小表示分解效果越好。

信号X(i)(i=1,2,3,…,N)的包络熵为

(16)

式中:a(i)为信号X(i)(i=1,2,…,N)经Hilbert解调后的包络信号;pia(i)的归一化。

选取VMD分解后各个模态分量包络熵平均值作为适应度函数,公式为

(17)

(2)BiLSTM部分以预测结果的平均绝对误差(MSE)为适应度,MSE越小,预测性能越优。

(18)

式中:hls为隐藏层大小;Dr为Dropout比例;N为样本数;yi为第i个样本的真实值;为第i个样本的预测值。

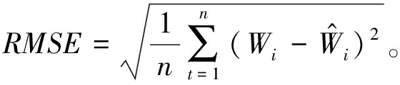
3.2 评价指标

本文选用平均绝对误差MAE、平均绝对百分比误差MAPE以及均方根误差RMSE作为评价指标:

(19)

(20)

(21)

式中:分别为第i个功率实际值、预测值;n为样本数量;P为光伏发电系统装机容量。

4 算例分析

本文选取山东省某50 MW光伏电站(记为1号电站)与河北省某35 MW光伏电站(记为2号电站)作为研究对象,对预测模型进行验证分析。1号电站地处山东沿海,属暖温带季风气候,夏季湿热多雨,多云天气频发,直射辐照度受云层遮挡波动显著;2号电站位于河北内陆平原,属大陆性季风气候,夏季多晴朗少云。两者在装机容量、地理气候条件及运行环境上具有较大差异,分别代表了“高湿度-多散射”与“高温-强直射”两类典型夏季光伏发电场景。所用数据包括两电站2020年3月至8月的实际运行数据,以及同期的数值天气预报(NWP)数据,特征涵盖总辐射、散射辐照度、直射辐照度、温度和湿度5项指标,采样间隔为15 min。

采用3σ原则检测异常值,并使用线性插值法修复缺失数据。数据归一化方法采用min-max法。数据集划分采用滑动窗口策略,严格按时间顺序处理,以避免未来信息泄漏。

以1 d为步长,构建163个连续时间窗口。每个窗口中,训练集为预测日前第21天至第3天(共19 d),验证集为前2天,测试集为当天。该设计保证评估连续性,并始终基于最新数据建模,更贴近实时气象与设备状态,降低了历史噪声干扰。

本研究实验在Windows 10操作系统下,基于MATLAB R2023b环境完成。通过集成Deep Learning Toolbox(v23.2)构建BiLSTM网络,并自主编码实现VMD算法,其核心迭代过程中调用Signal Processing Toolbox(v23.2)的fft与Hilbert函数进行信号频域分析与模态分离。

4.1 基于IDBO-VMD的光伏时间序列分解

本文采用IDBO与DBO算法分别优化VMD中的模态数K与惩罚因子α,比较两种算法性能,并将优化结果应用于两个光伏电站的功率数据分解。参数设置如下:种群规模为10,最大迭代次数20,K取值为[3,15],α为[100,2 500],终止容差设为tol=1×10-6,噪声容忍度τ=0.01。以首个预测窗口的训练集为例,图4展示了DBO与IDBO算法优化VMD参数的收敛曲线。从图4可见,相较于DBO算法,IDBO算法在1号电站和2号电站的VMD参数优化过程中均具有更快的收敛速度且收敛至更优的适应度值,表明其在优化过程中具有更强的性能,能够更高效地定位最优解。

图4 DBO与IDBO算法优化VMD参数的收敛曲线
Figure 4 Convergence curves of VMD parameters optimized by DBO and IDBO algorithm

首个预测窗口对应的训练集中,IDBO算法优化VMD参数的结果见表1。由表1中的结果可知,1号电站受较多的多云天气影响,散射辐照度占比较高,需更多模态数K分离随机波动分量,较低α允许较宽模态带宽以保留散射辐照度的瞬变特征;2号电站直射辐照度主导,较少的模态数K对应直射辐射的稳定周期性,较高α增强模态中心频率约束,抑制高温引起的日间功率波动噪声。

表1 IDBO算法优化VMD参数结果
Table 1 IDBO algorithm optimization results for VMD parameters

电站模态数K惩罚因子α1号电站61552号电站5246

首个预测窗口对应训练集的功率数据经模态分解后的结果如图5所示(图中数据为归一化值)。

图5 IDBO-VMD算法分解图
Figure 5 Exploded diagram of IDBO-VMD

由图5可知,原始信号被成功分解为IMF1至IMFk(1号电站k=6,2号电站k=5)以及一个残差分量。IMF分量按频率由高至低排列:高频成分主要捕获分钟级散射辐照度波动(如云层移动)及温度骤变引起的功率扰动;中频成分对应小时级直射辐照度渐变与组件温度缓变;低频成分对应直射辐照度的日周期特征和数日至周级的天气系统演变;残差分量主要包含未被IMF分量分解的超低频线性成分(持续的阴雨)或未被完全分解的非平稳特征(原始功率序列存在的突发性非线性扰动,如阴影遮挡导致的功率骤降等)。

4.2 光伏功率短期点预测结果及评价分析

本文采用DBO与IDBO算法分别优化BiLSTM模型的隐藏层大小和Dropout比例。参数设置:种群数量10,最大迭代次数20,搜索范围为层大小[1,150]、Dropout比例[0,0.7]。BiLSTM结构中,第一层与第二层初始神经元数分别设为128和32,通过Adam优化器训练并启用早停机制(验证集损失连续10轮未下降终止),全连接层激活函数为tanh,初始学习率为0.01,批量大小为64,学习率调整因子为0.1(当验证集损失连续5轮未下降时,将学习率衰减至原值的0.1倍,最低学习率阈值为1×10-6),最大训练轮数为100。

基于IDBO-VMD-BiLSTM模型进行光伏功率短期预测,并将其与BiLSTM、VMD-BiLSTM和DBO-VMD-BiLSTM模型的预测结果进行对比。为全面评估各模型性能,选取两电站在晴天、多云、阴雨3种天气条件下各一天的预测结果进行展示,因夜间出力恒为0,无研究意义,仅展示白天时段(8:00—19:45)内的48个数据点,预测模型评价如表2所示,1号和2号电站预测结果对比如图6和图7所示。观察图6与图7可知,无论是在晴朗、多云还是阴雨天气条件下,本文所构建模型的预测结果均更贴近实际光伏功率值。这一结果表明,本文模型在光伏功率预测方面展现出更优越的性能。

表2 预测模型评价表
Table 2 Evaluation table of photovoltaic model

电站预测模型MAE/MWMAPE/%RMSE/MW1号电站2号电站BiLSTM4.01918.0370.449VMD-BiLSTM3.07113.1420.353DBO-VMD-BiLSTM1.2885.5760.137IDBO-VMD-BiLSTM1.0084.0160.108BiLSTM2.43117.9430.219VMD-BiLSTM2.36816.7670.216DBO-VMD-BiLSTM0.5896.6840.107IDBO-VMD-BiLSTM0.4573.6130.067

图6 1号电站预测结果对比图
Figure 6 Comparison chart of prediction results for No.1 power station

图7 2号电站预测结果对比图
Figure 7 Comparison diagram of prediction results for No.2 power station

表2给出了BiLSTM、VMD-BiLSTM、DBO-VMD-BiLSTM以及本文所提模型IDBO-VMD-BiLSTM 4种模型)在MAEMAPERMSE等指标上的表现。由表2可知,本文所提模型表现出了最优的预测结果。相比于DBO-VMD-BiLSTM模型,本文所提模型在两个电站上的指标均最优。

以上结果表明,本文所提出的IDBO-VMD-BiLSTM光伏功率短期预测模型在预测精度上具有显著提升,能提供更精准可靠的预测结果。

5 结论

(1)构建基于VMD-BiLSTM的预测框架。通过VMD将时间序列数据分解为多个分量并输入BiLSTM进行预测,重构各分量结果以提升整体预测精度。

(2)提出改进蜣螂优化算法。在算法运行的不同阶段引入了Logistic混沌映射、Levy飞行、黄金正弦函数和自适应T分布扰动策略,增强了算法的全局搜索能力和局部开发能力,提高了算法的收敛速度。

(3)对模型参数进行优化。利用IDBO分别优化VMD的模态数K与惩罚因子α、BiLSTM的隐藏层大小与Dropout比例,提升了模型对时间序列数据的学习能力并缓解了过拟合问题。

综上所述,本文提出的IDBO-VMD-BiLSTM预测模型在光伏功率短期预测中表现出更高的预测精度。该模型不仅丰富了智能优化算法在时序建模中的应用,也为光伏功率预测系统的构建提供了更优的工程方案。

参考文献:

[1] GOU H S,HE Z H,WU X,et al. A distributed and robust topology control scheme for UAV swarm networks[J]. IEEE Transactions on Consumer Electronics,2025,71(2): 3156-3168.

[2] MA T, YANG H X, LU L. Solar photovoltaic system modeling and performance prediction[J]. Renewable and Sustainable Energy Reviews, 2014, 36: 304-315.

[3] ALMONACID F, PÉREZ-HIGUERAS P J, FERNNDEZ E F, et al. A methodology based on dynamic artificial neural network for short-term forecasting of the power output of a PV generator[J]. Energy Conversion and Management, 2014, 85: 389-398.

[4] ALAM S. Prediction of direct and global solar irradiance using broadband models: Validation of REST model[J]. Renewable Energy, 2006, 31(8): 1253-1263.

[5] LI Y T, SU Y, SHU L J. An ARMAX model for forecasting the power output of a grid connected photovoltaic system[J]. Renewable Energy, 2014, 66: 78-89.

[6] PERSSON C, BACHER P, SHIGA T, et al. Multi-site solar power forecasting using gradient boosted regression trees[J]. Solar Energy, 2017, 150: 423-436.

[7] LUO X, ZHANG D X, ZHU X. Deep learning based forecasting of photovoltaic power generation by incorporating domain knowledge[J]. Energy, 2021, 225: 120240.

[8] PA M, UDDIN M N, REZAEI N. An adaptive neuro-fuzzy model-based algorithm for fault detection in PV systems[J]. IEEE Transactions on Industry Applications, 2024, 60(1): 1919-1927.

[9] 韩晓, 王涛, 韦晓广, 等. 考虑阵列间时空相关性的超短期光伏出力预测[J]. 电力系统保护与控制, 2024, 52(14): 82-94.HAN X, WANG T, WEI X G, et al. Ultrashort-term photovoltaic output forecasting considering spatiotemporal correlation between arrays[J]. Power System Protection and Control, 2024, 52(14): 82-94.

[10] YANG C, THATTE A A, XIE L. Multitime-scale data-driven spatio-temporal forecast of photovoltaic generation[J]. IEEE Transactions on Sustainable Energy, 2015, 6(1): 104-112.

[11] 方鹏, 高亚栋, 潘国兵, 等. 基于LSTM神经网络的中长期光伏电站发电量预测方法研究[J]. 可再生能源, 2022, 40(1): 48-54.FANG P, GAO Y D, PAN G B, et al. Research on forecasting method of medium and long term photovoltaic power generation based on LSTM neural Network[J]. Renewable Energy Resources, 2022, 40(1): 48-54.

[12] LIU W, LIU Y M, FU L, et al. Wind power forecasting method based on bidirectional long short-term memory neural network and error correction[J]. Electric Power Components and Systems, 2021, 49(13/14): 1169-1180.

[13] 王福忠, 王帅峰, 张丽. 基于VMD-LSTM与误差补偿的光伏发电超短期功率预测[J]. 太阳能学报, 2022, 43(8): 96-103.WANG F Z, WANG S F, ZHANG L. Ultra short term power prediction of photovoltaic power generation based on vmd-lstm and error compensation[J]. Acta Energiae Solaris Sinica, 2022, 43(8): 96-103.

[14] 朱菊萍, 魏霞, 谢丽蓉, 等. 基于VMD和改进BiLSTM的短期风电功率预测[J]. 太阳能学报, 2024, 45(6): 422-428.ZHU J P, WEI X, XIE L R, et al. Short-term wind power peediction based on vmd and improved BiLSTM[J]. Acta Energiae Solaris Sinica, 2024, 45(6): 422-428.

[15] 刘杰, 从兰美, 夏远洋, 等. 基于DBO-VMD和IWOA-BILSTM神经网络组合模型的短期电力负荷预测[J]. 电力系统保护与控制, 2024, 52(8): 123-133.LIU J, CONG L M, XIA Y Y, et al. Short-term power load prediction based on DBO-VMD and an IWOA-BILSTM neural network combination model[J]. Power System Protection and Control, 2024, 52(8): 123-133.

[16] 汪繁荣, 梅涛, 卢璐. 基于相似日聚类和VMD-LTWDBO-BiLSTM的短期光伏功率预测[J]. 智慧电力, 2024, 52(10): 56-63, 111.WANG F R, MEI T, LU L. Short-term PV power prediction based on similar day clustering with VMD-LTWDBO-BiLSTM[J]. Smart Power, 2024, 52(10): 56-63, 111.

[17] 廖晓辉, 陈川川. 改进的VMD-HT在电能质量扰动检测中的应用[J]. 郑州大学学报(工学版), 2021, 42(1): 21-27.LIAO X H, CHEN C C. Application of improved VMD-HT in power quality disturbance detection[J]. Journal of Zhengzhou University (Engineering Science), 2021, 42(1): 21-27.

[18] SRIVASTAVA N, HINTON G, KRIZHEVSKY A, et al. Dropout: a simple way to prevent neural networks from overfitting[J]. Journal of Machine Learning Research, 2014, 15: 1929-1958.

[19] XUE J K, SHEN B. Dung beetle optimizer: a new meta-heuristic algorithm for global optimization[J]. The Journal of Supercomputing, 2023, 79(7): 7305-7336.

[20] 彭铎, 陈江旭, 张倩, 等. 多策略改进的蜣螂搜索算法优化3DDV-Hop节点定位[J]. 重庆邮电大学学报(自然科学版), 2024, 36(3): 438-449.PENG D, CHEN J X, ZHANG Q, et al. Optimization of 3DDV-Hop node localization using multi-strategy improved dung beetle search algorithm[J] Journal of Chongqing University of Posts and Telecommunications(Natural Science Edition), 2024, 36 (3): 438-449.

Short-term Photovoltaic Power Forecasting Based on Improved Dung Beetle Optimizer for Optimizing VMD-BiLSTM

JIANG Jiandong1, CHANG Yizhe1, XU Chang1, GUO Jiaqi2, ZHANG Yichi1

(1.School of Electrical and Information Engineering, Zhengzhou University, Zhengzhou 450001, China; 2.Anyang Power Supply Company, State Grid Henan Electric Power Company, Anyang 455000, China)

Abstract: In order to improve the accuracy of short-term photovoltaic power forecasting, a model integrating an improved dung beetle optimizer, variational mode decomposition (VMD), and bidirectional long short-term memory (BiLSTM) was proposed. Firstly, a VMD-BiLSTM-based prediction framework was constructed, where time-series data were decomposed into multiple components via VMD and fed into BiLSTM for individual prediction. The final output was obtained by reconstructing the component-level results to enhance overall prediction performance. Subsequently, to address the tendency of the dung beetle optimizer (DBO) to fall into local optima, an improved DBO algorithm (IDBO) was developed through the introduction of four strategies: logistic chaotic mapping for initialization, Levy flight for global exploration, golden sine strategy for position updating, and adaptive T-distribution perturbation for local exploitation. Finally, the IDBO was utilized to optimize critical parameters, including the decomposition number K and penalty factor α in VMD, as well as the hidden layer size and Dropout ratio in BiLSTM, thereby enhancing the model′s learning capability and mitigating overfitting. The proposed model was experimentally tested using actual data from photovoltaic power stations in Shandong and Hebei provinces. Compared to the unimproved model DBO-VMD-BiLSTM, the results showed that the proposed model had the best MAE, MAPE and RMSE at two power stations.

Keywords: photovoltaic power generation; power forecasting; improved dung beetle optimization algorithm; variational mode decomposition; bidirectional long short-term memory

收稿日期:2025-09-02;修订日期:2025-11-06

基金项目:河南省高等学校重点科研项目(24A470009)

作者简介:蒋建东(1975—),男,河南南阳人,郑州大学教授,博士,主要从事电力系统电能质量分析与控制、新能源技术等研究,E-mail:jdjiang@zzu.edu.cn。

引用本文:蒋建东,常轶哲,徐畅,等.基于改进蜣螂算法优化VMD-BiLSTM的短期光伏功率预测[J].郑州大学学报(工学版),2026,47(2):59-66.(JIANG J D,CHANG Y Z,XU C,et al. Short-term photovoltaic power forecasting based on improved dung beetle optimizer for optimizing VMD-BiLSTM [J].Journal of Zhengzhou University(Engineering Science), 2026,47(2):59-66.)

文章编号:1671-6833(2026)02-0059-08

中图分类号:TM732;TP301

文献标志码:A

doi:10.13705/j.issn.1671-6833.2025.05.024