考虑需求响应的配电网智能储能软开关双层优化配置

程子霞1, 唐 兴1, 柴旭峥2, 郭姿婵1, 姚文博1

(1.郑州大学 电气与信息工程学院,河南 郑州 450001;2.国网许昌供电公司,河南 许昌 461000)

摘 要: 针对含高比例新能源电力系统面临的网络损耗增大、电压越限等问题,提出了考虑需求响应的配电网智能储能软开关(E-SOP)双层规划策略。首先,考虑风光出力相关特性,基于Frank-Copula函数生成风光出力典型场景;其次,建立了E-SOP双层规划模型,上层以配电网年综合运行成本最低为目标进行E-SOP的选址定容,下层考虑需求响应参与,以各个场景运行成本最小为目标进行运行优化,并采用多策略改进的鲸鱼优化算法(MIWOA)和二阶锥规划(SOCP)的混合算法对模型进行求解;最后,采用IEEE33节点系统进行算例分析。仿真结果显示:系统的年综合成本降低了7.94%,验证了所提方案能够有效提高配电网运行的稳定性和经济性。

关键词:智能储能软开关; Frank-Copula函数; 双层规划; 鲸鱼优化算法; 二阶锥规划

在“双碳”目标以及新型电力系统背景下,分布式能源(distributed generation, DG)接入配电网的比例迅速增加,DG固有的间歇性导致了其输出功率的不确定性、波动性,开环运行的配电网灵活性受到严重限制,导致网络损耗增加、线路末端电压严重越限等问题日益突出[1-3]

新型电力电子装置的出现为解决上述问题提供了机遇。智能软开关(soft open point,SOP)是一种可控电力电子器件,可实现馈线间的功率流动,进而改善系统潮流分布,提高配电网运行经济性[4]。相比传统联络开关,SOP可以实现馈线间的灵活连接,避免反复倒闸操作的安全隐患,提高配网灵活性以及响应速度[5]。蓄电池(energy storage system, ESS)具有价格低廉、可靠性高、技术相对成熟等特性,被广泛应用于储能设备。ESS通过能量的存储与释放,实现对负荷的“低储高发”,然而安装固定位置的储能装置,其空间调节能力有限,难以应对不同馈线上出现的问题[6]。通过DC-DC变换器与ESS组成的系统可以使SOP的直流部分接入配电网中,从而实现对多条馈线功率的调节,大大提高了其灵活性。

以往的研究考察了SOP对配电网中各种因素的影响,其中许多研究着重于通过优化SOP在配电网中的位置和运行来提高配电网的经济性和安全性。Cao等[7]、Li等[8]优化了SOP功率以减少配电网网络损耗、电压偏差等。Ehsanbakhsh等[9]使用SOP替代传统联络开关,改变网络的拓扑结构,以提高网络的运行灵活性。He等[10]基于完全信息动态博弈,提出了一种主动配电网中DG和SOP的双层协调规划模型,以协调DG投资者、配电公司和电力消费者的利益和需求,灵活调整支线之间的功率。Ehsanbakhsh等[11]提出了基于随机情形的配电网规划模型,同时控制SOP的位置容量选择以及配电网重构,提高配电网运行的灵活性。

需求响应(demand response, DR)是指电力用户根据电力市场的“价格信号”或者“激励信号”使用电负荷改变的行为。Huang等[12]计及两端E-SOP(SOP with ESS, E-SOP)与激励型需求响应(incentivized demand response, IDR),以年综合成本最小为目标建立规划模型。何叶等[13]、陈依杭等[14]以配电网灵活性指标为目标函数,建立了两端E-SOP规划的二阶锥规划(second-order conic programming, SOCP)模型。王成山等[15]考虑风光等分布式电源的运行特性,建立了两端E-SOP选址定容的双层规划模型。于文山等[16]考虑三端E-SOP,对比两端E-SOP,验证三端SOP能够有效降低建设成本,提高设备的利用率,增强其改善系统潮流和应对电压波动的能力。

然而,上述文献中SOP端口的安装位置均为给定联络开关的节点,实际中由于风机、光伏发电装置安装的节点位置不同,SOP端口的位置不应只局限于联络开关节点。且在当前软开关规划研究中,主动配电网中大量灵活可控的需求侧资源没有得到充分重视。米阳等[17]建立考虑DR的三端E-SOP与多种无功补偿设备协同优化模型,验证了需求侧资源对配电网运行优化的协同作用。

针对上述问题,本文基于已有研究成果,提出配电网三端E-SOP的双层规划模型。该模型上层以配电网年投资运维成本最小为目标,对接入电网的E-SOP进行选址定容;下层以配电网年运维费用最小为目标,考虑DR调节配电网运行。该模型采用多策略改进的鲸鱼优化算法(multi-strategy improved whale optimization algorithm, MIWOA)和SOCP的混合算法对所提模型进行求解,通过设置不同案例进行对比分析,验证所提考虑DR的配电网三端E-SOP双层规划模型的有效性。

1 典型场景生成和模型介绍

1.1 考虑风光出力相关性的场景生成

1.1.1 Copula理论

Copula函数的理论基础是Sklar定理,通过定理将多元分布与Copula函数联系起来,运用Copula函数和边缘分布可以构造多元分布函数,进而解决多元联合分布问题[18]。因此,通过Copula函数来表征区域内风光出力相关特性。

1.1.2 基于Copula函数的风光场景生成

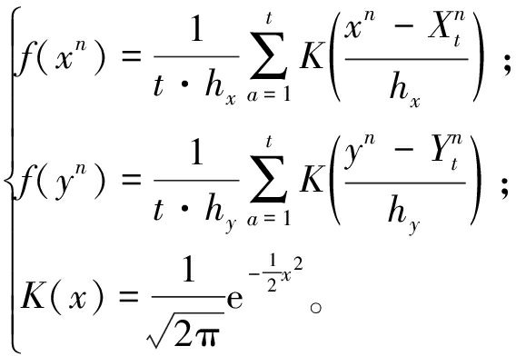
基于风光天然互补特性以及Frank-Copula函数可以描述变量间负相关关系的特性,选其作为风、光联合概率分布的连接函数[19]。基于非参数高斯核密度估计法生成风机和光伏出力概率密度函数:

(1)

式中:f为概率密度函数;n表示时段数;xnyn分别表示风、光在n时的出力值;分别表示风、光在第tn时的出力值;K为高斯核函数;h为窗宽,风电窗宽hx 取0.002,光伏窗宽hy 取0.01[20]

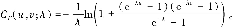
根据概率密度函数求得累积分布函数F(xn)和F(yn),基于Frank-Copula函数求出风光出力的联合分布函数,算式如下:

H(xn,yn)=C(F(xn),F(yn));

(2)

(3)

式中:u=F(xn);v=F(yn);λ为相关参数且λ≠0,λ>0 表示uv正相关,λ趋近于0表示uv趋于独立,λ<0表示uv 负相关。

对累积分布函数进行抽样和反变换后获得初始场景集,采用K-means聚类得到典型场景。

1.2 需求响应模型

需求侧资源不仅会影响配电网供需平衡,在优化配置的同时充分考虑柔性资源的参与,还能够提高配置方案和实际需求之间的匹配度,提高配电网经济性。本文以价格型需求响应(price-based demand response, PDR)和IDR为典型需求响应,模型参照文献[21]中4.2节。

1.3 智能储能软开关结构及数学模型

1.3.1 三端SOP拓扑结构

两端电压源型变流器(voltage source converter, VSC)通过对电力电子器件的控制,实现对馈线间功率的传输[22]。在直流侧并联一台VSC可形成三端SOP。三端背靠背电压源型变流器结构如图1所示。

图1 背靠背电压源型变流器结构
Figure 1 Back-to-back voltage source converter structure

1.3.2 含储能的SOP数学模型

ESS与DC-DC变换器组成储能系统可以通过SOP中的直流部分接入到配电网中。E-SOP接入配电网的模型如图2所示。

图2 E-SOP接入配电网模型
Figure 2 E-SOP integrated into the distribution grid modeling

配电网运行时,SOP端口应满足如下容量约束:

(4)

式中:PSOP,k,t QSOP,k,t分别为端口kt时刻流过的有功、无功功率;SSOP,k,max为SOP端口容量最大值。运行时,ESS出力、SOP各端口出力以及SOP端口损耗之和为0:

(5)

式中:PLoss,k,t为端口kt时刻的有功损耗;PESS,tt时刻ESS的充电功率(PESS,t < 0)或放电功率(PESS,t >0)。可近似地将SOP的端口损耗描述为

PLoss,k,t=αLoss|PSOP,k,t|。

(6)

式中:αLoss为SOP各端口的有功功率损耗系数。

储能的出力过程可以由式(7)描述:

EESS,t+1=EESS,t+PESSin,tηin-PESSout,tout

(7)

式中:EESS,t为储能在t时刻的电量;PESSin,tPESSout,t分别为储能t时刻的充、放电功率;ηinηout分别为储能的充、放电效率。储能荷电状态SOC、功率应该满足如下约束:

(8)

式中:PESSin,maxPESSout,max分别为最大充、放电功率;Lin,tLout,t分别为在t时刻进行充放电的0-1变量,充电时Lin,t为1,Lout,t为0,放电时Lin,t为0,Lout,t为1;SOCESS,maxSOCESS,min分别为SOC的最大、最小值。

2 配电网选址定容模型

配电网E-SOP选址定容流程如图3所示。

图3 E-SOP选址定容流程
Figure 3 E-SOP siting and sizing determination process

2.1 规划层数学模型

2.1.1 目标函数

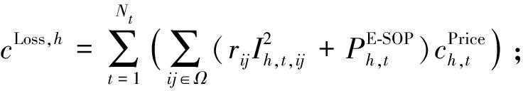
min f=fI,E-SOP+fO,E-SOP+fL;

(9)

(10)

(11)

(12)

(13)

(14)

(15)

式中:fI,E-SOPfO,E-SOP分别为E-SOP年投资、维护成本;fL为配电网年运行成本;Ωb为系统支路的集合;d为贴现率;y为E-SOP的经济使用年限;cE-SOP, DC-DCcE-SOP, ESScE-SOP, VSC分别为DC-DC转换器单位容量投资成本、ESS单位容量投资成本和VSC单位容量投资成本;分别为DC-DC转换器容量、ESS容量和VSC容量;βE-SOP为E-SOP年运维费用系数;Nh为场景数量;Ph为场景概率;cLoss, hcGrid, hcDR, h分别为场景h一天的网损成本、购电成本、DR成本;Nt为划分的时段数;rij为支路ij的阻抗;Ih,t,ij为支路ijt时刻的电流;为场景ht时刻E-SOP的损耗;为场景ht时刻的电价;为场景ht时刻净负荷;分别为场景ht时刻的PDR、IDR电量;cPrice, perkcIL, perk分别为PDR、IDR补偿电价。

2.1.2 约束条件

(16)

式中:mE-SOP, VSCmE-SOP, DC-DCmE-SOP, ESS分别为E-SOP换流器、DC-DC转换器、ESS的单位容量配置数量;sE-SOP, VSCsE-SOP, DC-DCsE-SOP, ESS分别为E-SOP换流器、DC-DC转换器、ESS的单位配置容量。

2.2 运行层

2.2.1 目标函数

目标函数如式(12)所示。

2.2.2 约束条件

(1)系统潮流约束:

(17)

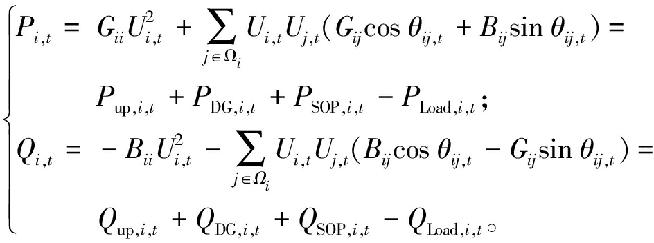
式中:Pi,tQi,t分别为t时刻流入i节点的有功、无功功率;GiiBii分别为i节点的自电导、自电纳;GijBij分别为ij节点之间的互电导、互电纳;Ui,tUj,t分别为ij节点在t时刻的电压幅值;Ωi为与i节点相邻节点的集合;θij,tt时刻ij节点间的相角之差;Pup,i,tPDG,i,tPSOP,i,tPLoad,i,t分别为t时刻上级电网、DG、SOP、负荷输入节点i的有功功率;Qup,i,tQDG,i,tQSOP,i,tQLoad,i,t分别为t时刻上级电网、DG、SOP、负荷输入节点i的无功功率。

(2)系统节点电压约束:

Ui,minUi,tUi,max

(18)

式中:Ui,maxUi,min分别为节点i电压幅值上、下限。

系统支路电流约束:

(19)

式中:Iij,max为支路ij电流幅值最大值。

3 E-SOP双层规划模型求解

双层规划属于大规模混合整数非线性规划问题,利用MIWOA和SOCP混合算法进行求解。

3.1 改进鲸鱼优化算法

鲸鱼优化算法(whale optimization algorithm, WOA)便于操作,易实现。但求解精度低,容易陷入局部最优。以下对算法进行多方面改进。

Chebyshev混沌映射[23]以混沌性来代替WOA的随机初始化,可以均衡搜索空间中的种群资源。

WOA中a是线性减小到0的,因此引入改进的非线性收敛因子[24]用于协调全局和局部搜索。加入自适应权重系数[25]以增强全局搜索能力。

在算法后期选择全局搜索能力较强的灰狼算法(grey wolf optimizer, GWO)[26]进行变异更新。

3.2 锥规划算法

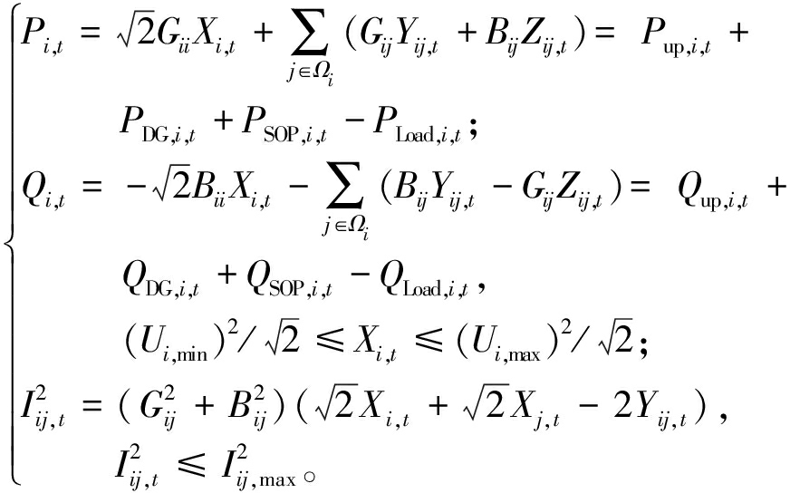
模型中系统潮流约束以及支路电流约束均是非线性函数,需要对模型进行相应的变换处理。

(20)

相应的约束式(17)~式(19)变为

(21)

E-SOP功率约束条件做如下变化:

(22)

针对E-SOP损耗中含有的绝对值项,引入辅助变量MSOP, k, t替代|PSOP, k, t|,并补充如下约束:

(23)

同理,使用Vh, tWh, t替代

最后,引入非线性二阶旋转锥约束条件,使得优化模型在尖凸锥的约束范围内:

(24)

该约束自然成立,不会对原问题解产生影响。

3.3 双层优化模型求解流程

双层优化模型求解流程如图4所示。

图4 模型求解流程
Figure 4 Solution process of model

4 算例仿真分析

4.1 算例描述

IEEE33节点配电网系统结构如图5所示,电压等级为12.66 kV,电压上下限为[0.9,1.1] p.u.。其中分别在节点15和25接入1.2 MW和0.6 MW的风机,在节点22和30接入容量为0.8 MW和2 MW的光伏。PDR设置为5%,补偿价格为0.03元/(kW·h)。IDR参数、E-SOP设备相关参数以及分时电价设置见表1~3。DC-DC转换器配置设置为储能容量的20%。IEEE33节点系统负荷曲线如图6所示。历史数据以及场景生成结果如图7、图8所示。

表1 可削减负荷用户合同相关参数
Table 1 Parameters related to contracts for users of loads that can be curtailed

编号位置最大中断容量/kW最大中断时长/h单次最大中断时长/h中断补偿价格/(元·(kW·h)-1)IL1860420.5IL225150630.9IL333100540.8

表2 分时电价

Table 2 Time-of-day tariffs 单位:元/(kW·h)

时段购电电价售电电价1:00—8:000.410.469:00—13:001.221.2614:00—16:000.790.9517:00—18:001.261.2619:00—22:001.371.2623:00—24:000.790.95

表3 E-SOP相关参数设置
Table 3 E-SOP related parameter settings

参数参数值参数参数值DC-DC转换器单位容量投资成本/(元·(kV·A)-1)350储能初始SOC0.5储能蓄电池单位容量投资成本/(元·(kW·h)-1)1 000储能充放电效率0.98VSC单位容量投资成本/(元·(kV·A)-1)800DC-DC转换器损耗系数0.02储能单位可优化容量/(kW·h)100E-SOP运行维护成本系数0.01VSC单位可优化容量/(kV·A)100贴现率0.08VSC换流器损耗系数0.02经济使用年限/a20储能SOC上下限[0.2,0.9]储能规划容量上限/(MW·h)1

图5 IEEE33节点配电网系统
Figure 5 Improved IEEE33-node distribution system

图6 IEEE33节点系统负荷曲线
Figure 6 IEEE33 node system load curve

图7 风电和光伏的年出力情况
Figure 7 Annual output of wind and solar power

图8 风光场景生成结果
Figure 8 Generation of WT and PV scenarios

4.2 算例结果及案例对比分析

4.2.1 选址定容规划方案设置

为突出所提策略的优势以及有效性,设置如下6个案例进行对比分析。①考虑DR的配电网三端口E-SOP规划。②不考虑DR的配电网三端E-SOP规划。③考虑DR仅配置三端SOP。④考虑DR仅配置3个ESS。⑤考虑DR的配电网三端口E-SOP规划(节点选择联络开关处)。⑥未进行规划的原始系统。

4.2.2 上层优化结果分析

不同规划方案的结果见表4,成本费用见表5。

表4 IEEE33节点系统不同方案下的规划结果
Table 4 Planning results of the IEEE 33 node system of different schemes

方案E-SOP接入位置以及容量方案1VSC25(600 kVA)、VSC33(400 kVA)、VSC15(400 kVA)、ESS(1 000 kW·h)方案2VSC25(700 kVA)、VSC33(400 kVA)、VSC17(400 kVA)、ESS(1 000 kW·h)方案3VSC25(700 kVA)、VSC33(400 kVA)、VSC15(400 kVA)方案4ESS21(1 000 kW·h)、ESS27(1 000 kW·h)、ESS14(1 000 kW·h)方案5VSC25(600 kVA)、VSC33(400 kVA)、VSC18(300 kVA)、ESS(1 000 kW·h)方案6原始系统

表5 IEEE33节点系统各规划方案下成本费用
Table 5 Costs in various planning scenarios of IEEE33 node system 单位:万元

方案投资成本维护成本购电成本DR成本网损成本年综合成本方案122.312.191 244.4251.2224.881 345.02方案223.122.271 348.25040.571 414.21方案312.221.201 273.2651.2229.361 367.26方案432.693.211 186.7351.2271.901 345.75方案521.492.111 244.4251.2231.621 350.86方案6001 377.10083.911 461.01

ESS容量均配置为上限值,原因是规划模型以成本最小化为目标,储能容量越大越利于降低购电成本。各VSC端口的位置均在分布式电源附近,便于功率的输送,且靠近上级电网的节点VSC容量较大,使上级电网输送的功率尽可能少地流经配电网支路,降低网络损耗。

方案2相比于原始系统年综合成本降低46.8万元,证明了E-SOP规划的必要性。相比于方案2,方案1投资运维成本降低0.89万元,年综合成本降低69.49万元,证明了考虑DR能够提高规划的适配性。相比于方案3和方案4,方案1的年综合成本分别降低22.24,0.73万元,证明了ESS与SOP联合配置的优越性,且方案4中储能动作可能会导致新的负荷峰值,配电网潮流和网络损耗没有得到改善,不符合实际。相比于在固定节点配置的方案5,方案1年综合成本降低了5.84万元,证明了全网随机规划可以深度挖掘E-SOP的灵活性潜力。

综上,本文所提E-SOP规划方案配合DR可提升规划方案与实际负荷的适配性,提高配电网运行的经济性。

4.2.3 下层规划结果分析

风光出力场景1下,方案1的配电网运行功率平衡如图9所示。

图9 各方案下的功率平衡
Figure 9 Power balance of each scheme

由于系统采用统一售电电价进行规划,故DR的响应方案基本不变。ESS作为配电网扩展收益的主要对象,在电价低时充电,电价高时放电。各个VSC端口以网络损耗最小为目标进行功率调控。值得说明的是,各个VSC端口的功率值和本就等于储能的运行功率,因此储能的部分不再额外标注。

场景1下,各方案的网损如图10所示。5个方案的网络损耗相比于原始系统均有不同程度降低。分别减少1 526.31,1 111.78,1 427.78,289.36,1 354.54 kW,分别降低69.27%,50.46%,64.80%,13.13%,61.47%。其中,方案1对网络损耗的改善效果最好,方案4效果最差。由于购电费用比重大,网络损耗几乎不会影响储能的动作变化。对比方案1、2,可知DR在一定程度上也降低了网络损耗。对比方案1和方案5发现,联络开关处不能兼顾全局,网络损耗略大。

图10 网损对比
Figure 10 Comparison of network losses

风光出力场景1下,各方案对应的节点电压曲线如图11所示,各方案的电压偏差如图12所示。

图11 各方案电压曲线对比
Figure 11 Comparison of voltage curve of each scenario

图12 各方案的电压偏差对比
Figure 12 Comparison of voltage deviations of each scheme

由电压偏差对比分析可知,相比于原始系统,前5个方案一天的电压偏差都有不同程度降低:电压偏差分别减少9.76,8.41,10.49,1.28,9.30 p.u.,分别降低44.37%,38.21%,47.69%,5.84%,42.28%。其中以方案3降低电压偏差的比例最大,方案4最小:方案4中并不含有SOP装置,原有系统潮流并未改变,重载线路上压降仍然很高;方案1,2,5中,方案2未考虑需求响应,所以电压偏差较大;方案1和方案5电压偏差略高于方案3,是因为电压以约束条件的形式考虑在规划方案中,而ESS动作受制于购电成本,有时会导致电压偏差高于方案3。

通过以上数据分析发现,本文所提方案在综合成本上优于其他方案,能够有效降低网络损耗,提升配电网运行的经济性;同时,E-SOP能够有效改善节点电压偏差,提升配电网稳定性。

4.3 算法验证分析

为进一步验证所提出的混合算法求解本文所提E-SOP规划问题的有效性和优良性,设置不同求解方法从不同方面进行对比分析。结果如表6所示。

表6 求解策略比较
Table 6 Comparison of solution strategies

方案求解方法目标函数/万元求解时间/s方案1WOA1 536.9139 605方案2MIWOA1 374.5943 568方案3CPLEX不收敛不收敛方案4MIWOA-SOCP1 375.7124 967

由于变量维数较大,WOA可能会产生局部最优结果,且CPLEX不能可靠收敛。MIWOA求解结果与混合算法基本一致,但混合算法大大缩短了求解时间,提高了求解效率,验证了所提混合算法的有效性。

5 结论

(1)本文考虑风光出力的相关特性,采用Frank-Copula函数进行典型场景构建。考虑到需求响应对规划方案适配性的影响,建立了考虑DR的E-SOP双层规划模型,提出了一种基于MIWOA和SOCP的混合优化算法对问题进行求解,充分发挥了不同算法的优势,提高了优化算法对于大规模混合整数非线性规划问题的快速性和收敛性。

(2)E-SOP的合理规划能够显著提升配电网的经济性,其灵活运行也能改善电压质量,增强配电网的稳定性。本文以IEEE33节点系统对所提策略进行验证,表明所提策略在降低网络损耗、提升配电网运行经济性以及改善电压质量方面的优势。

(3)E-SOP规划时面临着诸多不确定因素,在考虑需求响应的基础上,建立综合考虑不确定因素(如风光出力、负荷波动等)的规划模型,同时在现有基础上寻求针对复杂模型的更高效的求解方法是需要进一步研究的问题。

参考文献:

[1] 杨亘烨, 孙荣富, 丁然, 等. 计及光伏多状态调节能力的配电网多时间尺度电压优化[J]. 中国电力, 2022, 55(3): 105-114.YANG G Y, SUN R F, DING R, et al. Multi time scale reactive power and voltage optimization of distribution network considering photovoltaic multi state regulation capability[J]. China Electricity Power, 2022, 55(3): 105-114.

[2] 王杰, 王维庆, 王海云, 等. 考虑越限风险的主动配电网中DG、SOP与ESS的两阶段协调规划[J]. 电力系统保护与控制, 2022, 50(24): 71-82.WANG J, WANG W Q, WANG H Y, et al. Two-stage coordinated planning of DG, SOP and ESS in an active distribution network considering violation risk[J]. Power System Protection and Control, 2022, 50(24): 71-82.

[3] 朱晓荣, 鹿国微, 谢婉莹. 考虑源网荷灵活性资源的配电网储能鲁棒规划[J]. 电力自动化设备, 2021, 41(8): 8-16,40.ZHU X R, LU G W, XIE W Y, et al. Robust planning of energy storage in distribution network considering source-network-load flexible resources[J]. Electric Power Automation Equipment, 2021, 41(8): 8-16,40.

[4] CAO W, WU J, JENKINS N, et al. Operating principle of Soft Open Points for electrical distribution network operation[J]. Applied Energy, 2016, 164: 245-257.

[5] JI H, WANG C, LI P, et al. Quantified flexibility evaluation of Soft Open Points to improve distributed generator penetration in active distribution networks based on difference-of-convex programming[J]. Applied Energy, 2018, 218: 338-348.

[6] 刘洋, 谢平平, 黄炳开, 等. 基于智能储能软开关的多馈线共享储能鲁棒性规划[J]. 电力自动化设备, 2024, 44(7): 238-245.LIU Y, XIE P P, HUANG B K, et al. Robust planning of multi-feeder-sharing energy storage based on E-SOP[J]. Electric Power Automation Equipment, 2024, 44(7): 238-245.

[7] CAO L,WU J Z,THOMAS L,et al. Optimal operation of Soft Open Points in medium voltage electrical distribution networks with distributed generation[J]. Applied Energy, 2016, 184: 427-437.

[8] LI P, JI H, SONG G, et al. A combined central and local voltage control strategy of Soft Open Points in active distribution networks[J]. Energy Procedia, 2019, 158: 2524-2529.

[9] EHSANBAKHSH M,SEPASIAN M S. Bi-objective robust planning model for optimal allocation of Soft Open Points in active distribution network: a flexibility improvement approach[J]. Electric Power Systems Research, 2023, 224:109780.

[10] HE Y,WU H B,BI R, et al. Coordinated planning of distributed generation and Soft Open Points in active distribution network based on complete information dynamic game[J]. International Journal of Electrical Power and Energy Systems, 2022, 138:107953.

[11] EHSANBAKHSH M,SEPASIAN M S. Simultaneous siting and sizing of Soft Open Points and the allocation of tie switches in active distribution network considering network reconfiguration[J]. IET Generation, Transmission &Distribution, 2022, 17(1): 263-280.

[12] HUANG Z, XU Y, CHEN L, et al. Coordinated planning method considering flexible resources of active distribution network and Soft Open Point integrated with energy storage system[J]. IET Generation, Transmission &Distribution, 2023, 17(23): 5273-5285.

[13] 何叶, 杨晓东, 吴红斌, 等. 面向新型配电系统灵活性提升的智能软开关与储能系统协调规划[J]. 电力系统自动化, 2023, 47(18): 142-150.HE Y, YANG X D, WU H B, et al. Coordinated planning of Soft Open Point and energy storage system for flexibility enhancement of new distribution system[J]. Automation of Electrical Power System, 2023, 47(18): 142-150.

[14] 陈依杭, 李晓露, 柳劲松, 等. 考虑配电网灵活性供需匹配度及网络传输的储能和智能软开关协同规划[J]. 电力建设, 2024,45(9):49-62.CHEN Y H, LI X L, LIU J S, et al. Energy storage system and Soft Open Point coordinated planning considering distribution network flexibility supply-demand matching and network transmission[J]. Electrical Power Construction, 2024,45(9):49-62.

[15] 王成山, 宋关羽, 李鹏, 等. 考虑分布式电源运行特性的有源配电网智能软开关SOP规划方法[J]. 中国电机工程学报, 2017, 37(7): 1889-1897.WANG C S, SONG G Y, LI P, et al. Optimal configuration of Soft Open Point for active distribution network considering the characteristics of distributed generation[J]. Proceedings of the CSEE, 2017, 37(7): 1889-1897.

[16] 于文山, 黎明, 由蕤. 含储能的三端SOP对主动配电网的潮流优化研究[J]. 太阳能学报, 2022, 43(3): 101-110.YU W S, LI M, YOU R, et al. Power flow optimization study on active distribution network based on three-terminal SOP with energy storage system[J]. Acta Energiae Solaris Sinica, 2022, 43(3): 101-110.

[17] 米阳, 申杰, 卢长坤, 等. 考虑含储能的三端智能软开关与需求侧响应的主动配电网有功无功协调优化[J]. 电力系统保护与控制, 2024, 52(3): 104-118.MI Y, SHEN J, LU C K, et al. Active and reactive power coordination optimization of an active distribution network considering a three-terminal Soft Open Point with energy storage and demand response[J]. Power System Protection and Control, 2024, 52(3): 104-118.

[18] HAN S, QIAO Y, YAN J, et al. Mid-to-long term wind and photovoltaic power generation prediction based on copula function and long short term memory network[J]. Applied Energy, 2019, 239: 181-191.

[19] 李晖, 高涵宇, 张艳, 等. 考虑相关性的大规模风光互补电网扩展规划[J]. 电网技术, 2018, 42(7): 2120-2127.LI H, GAO H Y, ZHANG Y, et al. Expansion planning of large scale hybrid wind-photovoltaic transmission network considering correlation[J]. Power System Technology,2018, 42(7): 2120-2127.

[20] 林炜, 刘天羽. 基于场景生成的超级电容-氢混合储能容量优化配置[J]. 电测与仪表, 2025,62(12):115-124.LIN W, LIU T Y. Optimal allocation of super capacitor-hydrogen hybrid energy storage capacity based on scenario generation[J]. Electrical Measurement &Instrumentation, 2025,62(12):115-124.

[21] 孙浩锋. “源网荷储”协调的主动配电网运行优化分析[D]. 郑州:郑州大学, 2021.SUN H F. Operation optimization analysis of active distribution network based on "source-network-load-storage" coordination[D]. Zhengzhou: Zhengzhou University, 2021.

[22] SHAFIK M B, CHEN H K, RASHED G I, et al. Adequate topology for efficient energy resources utilization of active distribution networks equipped with Soft Open Points[J]. IEEE Access, 2019, 7: 99003-99016.

[23] LIPING Z, YUE Z, WEI R, et al. An energy-efficient authentication scheme based on chebyshev chaotic map for smart grid environments[J]. IEEE Internet of Things Journal, 2021, 8(23): 17120-17130.

[24] 黄元春, 张凌波. 改进的鲸鱼优化算法及其应用[J]. 计算机工程与应用, 2019, 55(21): 220-226,270.HUANG Y C, ZHANG L B. Improved whale optimization algorithm and its application[J]. Computer Engineering and Applications, 2019, 55(21): 220-226,270.

[25] 潘悦悦, 吴立飞, 杨晓忠. 一种多策略改进鲸鱼优化算法的混沌系统参数辨识[J]. 智能系统学报, 2024, 19(1): 176-189.PAN Y Y, WU L F, YANG X Z. Parameter identification of chaotic system based on a multi-strategy improved whale optimization algorithm[J]. CAAI Transactions on Intellgent Systems, 2024, 19(1): 176-189.

[26] 张文煜, 马可可, 郭振海, 等. 基于灰狼算法和极限学习机的风速多步预测[J]. 郑州大学学报(工学版), 2024, 45(2): 89-96.ZHANG W Y, MA K K, GUO Z H, et al. Multi-step prediction of wind speed based on gray wolf algorithm and extreme learning machine[J]. Journal of Zhengzhou University (Engineering Edition), 2024, 45(2): 89-96.

Optimized Configuration of Two Layers of Smart Energy Storage Soft Switches for Distribution Networks Considering Demand Response

CHENG Zixia1, TANG Xing1, CHAI Xuzheng2, GUO Zichan1, YAO Wenbo1

(1.School of Electrical and Information Engineering, Zhengzhou University, Zhengzhou 450001, China; 2.State Grid Xuchang Power Supply Company, Xuchang 461000, China)

Abstract: Aiming at the problems of increasing network losses and voltage overruns faced by power systems containing a high proportion of new energy, a two-layer planning strategy of soft open point integrated with energy storage system (E-SOP) for distribution networks considering demand response was proposed. Firstly, the typical scenarios of wind power output were generated based on Frank-Copula function considering the relevant characteristics of wind power output. Secondly, a two-layer planning model of E-SOP was established. The upper layer took the objective of the lowest annual comprehensive operating cost of the distribution network for the siting and capacity setting of E-SOP, The lower layer took the demand response participation into consideration. The operation optimization was carried out with the objective of the minimum operating cost of each scenario, and the multi-strategy improved whale optimization algorithm (MIWOA) and Second-order Conic Programming (SOCP) were used to solve the model. Finally, the IEEE33-node systems were used for example analysis, and the simulation results showed that the annual integrated costs of the systems were reduced by 7.94%, respectively, which verified that the proposed scheme could effectively improve the stability and economy of distribution network operation.

Keywords: Soft Open Point integrated with energy storage system; Frank-Copula function; two-layer planning; whale optimization algorithms; second-order cone planning

收稿日期:2025-09-07;修订日期:2025-11-06

基金项目:国家自然科学基金资助项目(52107130)

作者简介:程子霞(1974—),女,河南焦作人,郑州大学副教授,博士,主要从事高电压与绝缘技术研究,E-mail:chzx@zzu.edu.cn。

引用本文:程子霞,唐兴,柴旭峥,等.考虑需求响应的配电网智能储能软开关双层优化配置[J].郑州大学学报(工学版),2026,47(2):67-76. (CHENG Z X, TANG X, CHAI X Z, et al. Optimized configuration of two layers of smart energy storage soft switches for distribution networks considering demand response[J]. Journal of Zhengzhou University (Engineering Science), 2026,47(2):67-76.)

文章编号:1671-6833(2026)02-0067-10

中图分类号: TM751;TM732

文献标志码:A

doi:10.13705/j.issn.1671-6833.2025.05.015