基于属性-集对耦合的山洪灾害风险后果评价

李宗坤1,张亚东1,王 特2,葛 巍1,胡铁成3,王 红4

(1.郑州大学 水利与交通学院,河南 郑州 450001;2.华北水利水电大学 水利学院,河南 郑州 450046;3.郑州市水利建筑勘测设计院,河南 郑州 450006;4.青岛市水务管理局,山东 青岛 266071)

摘 要:针对山洪灾害时空分布的显著差异性以及评价过程中影响因素的不确定性易造成评价指标值失真以及风险指标信息缺失等问题,将评价指标划分为生命损失、经济损失、环境影响和社会影响,细分其等级标准并进行量化;采用变权理论对组合常权权重进行修正,利用属性测度综合评价向量对不确定性信息进行转化分析,结合属性集对联系数对灾害后果严重程度进行判别,构建了基于属性-集对耦合的山洪灾害风险后果评价模型。将所构建的模型应用于山西省古县20 a、50 a、100 a一遇暴雨情景的山洪灾害风险后果评价,结果表明:所提模型可有效量化不同重现期暴雨情景下的风险后果等级,与其他模型计算出的评价等级基本吻合,体现了所提方法较好的适用性。

关键词:山洪灾害; 属性区间识别; 集对分析; 风险后果评价

洪水所引发的灾害损失一直位于中国自然灾害之首。全球气候变暖背景下,极端降雨强度频率持续增加,导致山洪风险区扩大、损失加剧,严重阻碍区域经济发展[1-2]。中国山丘区面积约占国土面积的2/3,中小流域普遍存在水文数据匮乏问题,难以有效掌握洪水发生与演进规律,致使灾害风险评估模糊、风险管理滞后[3]。因此,利用数值模拟技术对中小流域进行多情景山洪推演并开展风险后果评价,对于降低洪水灾害损失,完善山洪灾害风险管理理论具有重要意义[4]

山洪是山丘区在强降雨作用下经下垫面产汇流后由河道演进的突发性洪水,具有急涨急落、破坏性强等特点[5-6]。在灾前实现灾后损失与风险水平的量化分析是进行山洪灾害风险防控的关键。目前围绕山洪灾害风险后果评价,国内外学者从不同角度开展了相关研究。Costache等[7]对研究区域进行栅格划分,基于机器学习开展了山洪风险等级评价;Ghosh等[8]选取危险性与易损性指标,结合主观权重确定不同区域山洪灾害风险等级;魏博文等[9]针对传统洪水风险评价指标不能全面反映洪灾风险特征的问题,建立了多指标模糊综合评价模型;苏广全等[10]采用博弈论组合赋权模型对甘肃省武威市山洪灾害进行了综合评价;周轶等[11]建立了不同降雨情景下山地旅游小镇经济损失评估模型;孙海等[12]针对洪水风险评价中的模糊性问题,以云模型为理论基础,采用组合赋值对洪灾风险进行评价。现有研究为山洪灾害风险评估提供了理论支撑,然而山洪灾害后果受多源不确定性因素影响,不同山洪灾害事件评价指标风险程度不一,因此所构建的评价模型应建立有效的信息提取机制以充分挖掘指标数据的灾害表征能力,并通过科学赋权实现多维指标体系的权重合理分配。

现有研究存在的问题主要体现在评价与赋权过程,山洪灾害风险后果评价中存在的不确定性会导致指标信息缺失:其一,传统固定权重法难以反映指标动态变化对评价结果的影响,且灾害成因的不确定性易导致指标信息缺失;其二,属性区间识别模型虽能通过最小代价原则整合多维数据,但其粗粒度评价语划分会造成判别信息损失;其三,集对分析理论虽可将不确定性转化为确定性联系数,但其隶属度矩阵与属性测度向量在等级隶属计算中存在功能重叠。基于此,本文融合变权理论动态优化指标权重,改进属性区间识别模型的分级机制,并引入集对分析同异反测度解析不确定性,最终集成水文水动力模拟数据,构建改进属性区间识别模型并应用于山洪灾害风险后果评价,以期完善山洪灾害风险防范体系并为山洪灾害防治提供借鉴与参考。

1 山洪灾害风险后果评价指标选取及等级划分

山洪灾害风险后果评价指标的选取是风险后果评价的重要环节,既是对山洪危险性的特征描述,也是对承灾体脆弱性的量化分析[13]。本文结合SL 602—2013《防洪风险评价导则》[14]并参考文献[15-17],在遵循科学性、合理性、典型性等原则的基础上选取生命损失、经济损失、环境影响、社会影响这4个综合评价指标。其中,直接后果指标涵盖人员伤亡、经济损益、生态环境破坏;间接后果指标聚焦社会影响维度,是前三者所引发的次生灾害,如洪灾所造成的居民生产生活的改变、重大民生设施损毁等。

山洪同溃坝、风暴潮洪水一样都具有突发性强、洪水流速快等特点,其致灾过程具有高度相似性,基于此,在进行等级标准确定时以现有文献作为分级标准基础。生命损失与经济损失等级标准主要依据《生产安全事故报告和调查处理条例》的一般事故、较大事故、重大事故、特别重大事故四级划分框架,并结合文献[18]实证研究补充等级Ⅳ的上限阈值。对于环境影响与社会影响,因缺乏实际灾损数据支撑,采用文献[18]的多指标乘积量化法实现定性向定量转化。山洪灾害风险后果评价指标选取及等级划分如表1所示。

表1 山洪灾害风险后果评价分级标准

Table 1 Classification standard for evaluation of flash flood disaster risk consequence

灾害等级生命损失/人经济损失/万元环境影响社会影响一般(Ⅰ)1~311~10001~31~3较大(Ⅱ)4~101001~5000>3~12>3~8重大(Ⅲ)11~305001~10000>12~40>8~25特别重大(Ⅳ)31~10000010001~1000000>40~100>25~100

2 属性-集对耦合评价模型

2.1 适用性分析

山洪灾害风险后果评价具有较强的不确定性[19-20],属性区间识别与集对分析作为不确定性系统分析方法,在处理实际工程问题时都具有一定的优势与不足。属性区间识别是根据最小代价原则,将不确定性信息转化为测度区间进行量化分析,最大程度保留指标信息作用。但进行评语等级判断时,置信度为主观取值,取值差异会导致样本落入不同等级,使得评价结果准确度较低。集对分析以“联系度”为纽带,其差异度系数的主观赋值直接影响评价结果。因此,属性区间识别与集对分析模型直接用于山洪灾害风险后果评价仍具有一定的局限性。

2.2 属性-集对耦合评价模型构建

对于属性区间识别与集对分析存在的不足,在转换判别标准,消除主观取值基础上,二者优势耦合能够有效提高评价模型准确性。首先,引入集对分析中的差异度解析框架,将属性区间识别的属性测度综合评价向量重构为多元联系度隶属度矩阵,实现不确定性信息的结构化表征;最后,采用“均分原则”建立评价等级区间划分的客观阈值体系,消除传统方法中置信度与差异度系数的主观赋值干扰。具体构造过程如下。

2.2.1 分级标准矩阵构建

将山洪灾害风险后果评价研究空间分为对象空间X与属性空间F,设对象空间Xn个山洪灾害事件xi (i=1,2,…,n),m个评价指标Ij (j=1,2,…,m);设属性空间Fl个评语等级Ck (k=1,2,…,l),且满足C1<C2<,…,<Cl,其评语等级排序由评价效果确定,根据评价指标在不同评价等级的界限值得到山洪灾害风险后果评价分级标准矩阵如下所示:

其中,I1,I2,…,Im为评价指标;C1,C2,…,Cl为评价等级;ajk,bjk (1≤jm,1≤kl)分别为第j个评价指标在评价等级Ck上的左右端点值,且满足ajkbjk,aj1aj2≤…≤ajl,bj1bj2≤…≤bjl,或ajkbjk,aj1aj2≥…≥ajl,bj1bj2≥…≥bjl

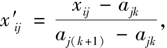
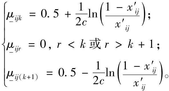
2.2.2 单指标非线性属性测度区间计算

设山洪灾害事件xij个评价指标的取值为xij,则具有属性Ck(1≤kl)的属性测度区间为

xijaj1bj1时,

xijaj1bj1时,

ajkxijaj(k+1)bjkxijbj(k+1)时有

其中,为消除量纲后的评价指标相对值;分别为评价指标隶属于不同评价等级的属性测度下限和上限;c为测度函数曲线增长率控制常量。

2.2.3 指标权重计算

为确保不同山洪灾害事件风险后果评价指标权重分布的合理性,在考虑主客观赋值的基础上,依据不同灾害事件的情况予以修正,因此在权重计算时采用层次分析法与改进熵权法得到主客观组合常权权重[21],并引入变权理论对组合权重进行修正,得到最终变权组合权重,具体计算参考文献[22]。

2.2.4 综合属性测度计算

综合属性测度(μijr)是不同评价对象隶属于不同评价等级的隶属度。利用均化系数α将各评价指标测量值的单指标属性测度区间转化为综合属性测度,结合指标权重值得到各山洪灾害事件隶属于各评价等级的属性测度(μir),计算公式如下所示:

(1)

(2)

2.2.5 属性集对联系数确定

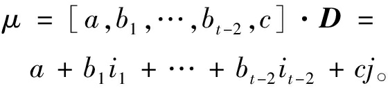
若有t个评价等级,对描述系统不确定性的差异度进行展开得到t元联系数μ:

(3)

式中:D为联系度分量,D=[1,i1,…,it-2,j]T

依据评价等级个数对差异度系数取值进行划分,对差异度系数取值[-1,1]按t-1等分,将it-2,it-1,…,i2,i1在[-1,1]上从左到右取t-1个均分数,j=-1,则联系度分量为

(4)

通过将属性测度综合评价向量μi替换多元联系数的隶属度矩阵,得到属性集对联系数μ:

(5)

2.2.6 评价等级判断

依据“均分原则”将属性集对联系数在区间[-1,1]上四等分,每一等分区间分别代表一个山洪灾害后果严重程度等级,通过联系数μ落入的区间判断山洪灾害后果严重程度等级,如表2所示。

表2 属性集对联系数与评价等级对应关系

Table 2 Correspondence between attribute-set pair coefficient and evaluation grade

μ取值灾害等级(0.5,1]一般(0,0.5]较大(-0.5,0]重大(-1,-0.5]特别重大

3 实例分析

3.1 研究区域概况

古县位于山西省临汾市东北部,洪安涧河是其主要河流,县境内流域面积974.3 km2,主要流经古阳镇与岳阳镇,流域位置示意图如图1所示。

注:该图基于自然资源部标准地图服务网站下载的标准地图,底图无修改(审图号为GS(2024)0650)。

图1 古县区域示意图

Figure 1 Schematic diagram of Guxian County

由于古县独特的地理位置与气候条件,山洪灾害发生概率较高,发生有记载山洪灾害十余次,房屋、农田损毁严重,造成严重经济损失,其中3次引发人员伤亡,山洪灾害风险管控水平亟待提高。

3.2 流域山洪灾害多情景数值模拟模型构建

采用HEC-HMS建立全流域水文模型,选取7场历史降雨进行参数率定与验证,计算重现期分别为100 a、50 a、20 a,降雨时间分别为720,360,180,60 min所组合成的12例暴雨情景,模拟得到各子流域汇流点洪水过程。

3.3 评价指标值计算

评价指标值计算是对风险后果的度量,能够直观反映出灾害后果严重程度,本文基于现有方法体系,选取能体现山洪致灾因子危险性与承灾体易损性的估算方法进行计算,其中生命损失采用损失率与风险人口的乘积公式进行计算[23],并以影响生命损失的因素进行一定修正;经济损失通过赋予不同水深和不同土地利用类型网格单位面积价值[24],建立不同淹没水深损失率关系得到;环境影响与社会影响根据研究区人口和企业等情况及文献[12]进行专家打分赋值,最终得到各暴雨情景下山洪灾害损失统计值如表3所示。

表3 各暴雨情景下山洪灾害损失统计值

Table 3 Statistical value of flash flood disaster loss with different rainstorm scenarios

降雨重现期/a降雨时间/min生命损失/人经济损失/万元环境影响社会影响10072067584018.591.4310036054502307.881.4310018047488327.161.431006023361956.211.105072055522768.121.435036043461666.921.435018036438516.451.43506016335655.731.102072039455207.161.432036027412366.681.432018023376825.971.10206010261755.251.10

3.4 评价指标权重计算

参考文献[18]主客观赋值过程计算得到主客观权重加权系数分别为0.843,0.157,生命损失、经济损失、环境影响和社会影响组合权重分别为0.579,0.181,0.120和0.120,由变权理论计算得到各暴雨情景评价指标变权组合权重如表4所示。

表4 各暴雨情景评价指标变权组合权重

Table 4 Variable weight combination weighting of each rainstorm scenario index

降雨重现期/a降雨时间/min生命损失经济损失环境影响社会影响1007200.6660.2140.0340.0851003600.6690.2140.0340.0831001800.6730.2150.0350.078100600.6410.2430.0360.080507200.6680.2140.0340.084503600.6740.2150.0350.076501800.6770.2160.0350.07350600.6030.2710.0410.086207200.6730.2150.0350.078203600.6590.2260.0370.078201800.6420.2430.0360.07920600.5690.2970.0450.090

3.5 山洪灾害风险后果评价结果及对比

结合评价实际并参考文献[20],取均化系数α=0.5,由第2节评价模型公式计算得到各暴雨情景的属性集对联系数,并根据联系数所属区间判断评价结果;同时,将属性-集对耦合模型、属性区间识别模型、集对可拓模型以及改进集对分析模型计算出的评价结果进行对比,如表5、表6所示。

表5 暴雨山洪灾害风险后果严重程度评价结果

Table 5 Severity evaluation results of rainstorm flash flood disaster consequence

降雨重现期/a降雨时间/min属性测度综合评价向量属性集对联系数属性-集对耦合模型集对可拓模型改进集对分析模型100720[0.0268,0.0284,0.4103,0.5271]-0.6275特别重大特别重大特别重大100360[0.0400,0.0415,0.4053,0.5057]-0.5869特别重大特别重大特别重大100180[0.0434,0.0389,0.4076,0.5026]-0.5820特别重大特别重大特别重大10060[0.0487,0.1904,0.4242,0.3302]-0.3594重大重大重大50720[0.0269,0.0315,0.4175,0.5166]-0.6184特别重大特别重大特别重大50360[0.0437,0.0381,0.4122,0.4985]-0.5795特别重大特别重大特别重大50180[0.0440,0.0364,0.4252,0.4868]-0.5724特别重大特别重大特别重大5060[0.0544,0.2062,0.4161,0.3161]-0.3317重大重大重大20720[0.0434,0.0389,0.4188,0.4913]-0.5745特别重大特别重大特别重大20360[0.0462,0.1753,0.4270,0.3436]-0.3813重大重大重大20180[0.0488,0.1898,0.4238,0.3313]-0.3605重大重大重大2060[0.0595,0.3294,0.4111,0.1921]-0.1598重大重大重大

表6 属性-集对耦合模型与属性区间识别模型计算结果对比

Table 6 Comparison of calculation results between attribute-set pair coupling model and attribute interval recognition model

降雨重现期/a降雨时间/min属性-集对耦合模型属性区间识别模型λ=0.5λ=0.6λ=0.7100720特别重大(Ⅳ)特别重大(Ⅳ)特别重大(Ⅳ)特别重大(Ⅳ)100360特别重大(Ⅳ)特别重大(Ⅳ)特别重大(Ⅳ)特别重大(Ⅳ)100180特别重大(Ⅳ)特别重大(Ⅳ)特别重大(Ⅳ)特别重大(Ⅳ)10060重大(Ⅲ)重大(Ⅲ)重大(Ⅲ)特别重大(Ⅳ)50720特别重大(Ⅳ)特别重大(Ⅳ)特别重大(Ⅳ)特别重大(Ⅳ)50360特别重大(Ⅳ)特别重大(Ⅳ)特别重大(Ⅳ)特别重大(Ⅳ)50180特别重大(Ⅳ)重大(Ⅲ)特别重大(Ⅳ)特别重大(Ⅳ)5060重大(Ⅲ)重大(Ⅲ)重大(Ⅲ)特别重大(Ⅳ)20720特别重大(Ⅳ)重大(Ⅲ)特别重大(Ⅳ)特别重大(Ⅳ)20360重大(Ⅲ)重大(Ⅲ)重大(Ⅲ)特别重大(Ⅳ)20180重大(Ⅲ)重大(Ⅲ)重大(Ⅲ)特别重大(Ⅳ)2060重大(Ⅲ)重大(Ⅲ)重大(Ⅲ)重大(Ⅲ)

3.6 结果分析

由表5可知,12例暴雨情景中有7例属于特别重大灾害,5例属于重大灾害。一方面,研究区域地处山丘区,短历时强降雨易引发成灾快、破坏性强的山洪,若灾害预警不足,人员难及时转移,易致伤亡;另一方面,区域地形落差大、暴雨强度高,模拟显示山洪流速快、镇域淹没严重,且山丘区居民住房多分布于河道两岸,水流挟沙石破坏环境与房屋,加剧经济损失与环境影响。综上,不同情景下该区域潜在山洪风险高,灾害后果严重。

在12例暴雨情景的评价结果中,属性-集对耦合模型与集对可拓模型、改进集对分析模型计算结果一致,均处于同一风险等级,验证了耦合模型所构建评价体系的有效性与合理性。本文所构建模型依据属性集对联系数落入不同评价等级区间进行评价等级判别,综合考虑了评价对象与不同评价等级之间的联系程度,充分利用计算得出的指标数据信息,发挥指标信息作用。同时,相较于集对可拓模型、改进集对分析模型,属性-集对耦合模型在进行山洪灾害后果评价时将各评价指标隶属度确定在一个能够动态变化的区间,在充分利用指标信息的同时更契合了评价指标隶属状态的不确定性。因此,采用属性集对联系数进行判别得出的结果合理可靠,将该模型应用于山洪灾害风险后果评价是合理可行的。

由表6可知,传统属性区间识别模型评价时,在不同置信度取值下,多例暴雨情景评价结果存在差异,表明评价结果在不同置信度下发生不同程度的变化。因置信度受主观影响,会导致评价结果不确定,风险等级判别过高易导致决策保守、资源浪费,过低则易忽视潜在风险。改进后模型通过属性测度综合评价向量与联系度分量乘积得到属性集对联系数判别,保留指标信息,从同异反三方面确定风险等级,不受主观因素干扰,评价结果归属单一风险等级,更利于风险研判,较改进前更客观合理。

4 结论

暴雨山洪灾害是低概率高损失的不确定性风险事件,开展风险后果评价对于提升流域防洪减灾能力具有重要意义。本文主要有以下结论。

(1)通过建立水文-水动力模型对典型山丘区流域遭遇极端强降雨山洪过程进行了模拟,推算得到较为全面且符合实际的灾情数据。

(2)综合考虑灾后损失指标,充分利用指标信息作用,对于传统赋值模型的不足进行修正,以属性集对联系数为纽带,综合考虑不同暴雨情景对各评价等级的联系程度,构造了属性-集对耦合的风险评价模型。

(3)将该模型应用于模拟古县遭遇12例暴雨情景下的山洪灾害风险后果评价,结果表明,有7例属于特别重大灾害等级,5例属于重大灾害等级,明确了研究区域的山洪灾害风险水平,将评价结果与其他评价模型进行对比,验证了本模型的合理性。

参考文献:

[1] 陈跃红,徐聪聪,张晓祥,等.中国山洪区划研究[J].地理学报,2023,78(5):1059-1073.CHEN Y H,XU C C,ZHANG X X,et al.Regionalization of flash floods in China[J].Acta Geographica Sinica,2023,78(5):1059-1073.

[2] LI Z K,LI W,GE W.Weight analysis of influencing factors of dam break risk consequences[J].Natural Hazards and Earth System Sciences,2018,18(12):3355-3362.

[3] WANG T,LI Z K,GE W,et al.Risk assessment methods of cascade reservoir dams:a review and reflection[J].Natural Hazards,2023,115(2):1601-1622.

[4] 邢子康,马苗苗,文磊,等.HEC-HMS模型在缺资料地区山洪预报的应用研究[J].中国水利水电科学研究院学报,2020,18(1):54-61.XING Z K,MA M M,WEN L,et al.Application of HEC-HMS model in mountain flood forecasting in data deficient areas[J].Journal of China Institute of Water Resources and Hydropower Research,2020,18(1):54-61.

[5] 任智慧,桑燕芳,杨默远,等.暴雨山洪灾害预警方法研究进展[J].地理科学进展,2023,42(1):185-196.REN Z H,SANG Y F,YANG M Y,et al.Progress of research on the methods for the early warning of mountain flash flood disasters[J].Progress in Geography,2023,42(1):185-196.

[6] 陈柳彤,许映军,徐粒,等.下垫面变化对暴雨—山洪灾害危险性的影响研究:以粤西马贵河流域为例[J].地理科学进展,2025,44(4):840-852.CHEN L T,XU Y J,XU L,et al.Impact of land surface changes on extreme rainfall-flash flood hazard:a case study of the Magui River Basin in western Guangdong Province[J].Progress in Geography,2025,44(4):840-852.

[7] COSTACHE R,HONG H Y,WANG Y.Identification of torrential valleys using GIS and a novel hybrid integration of artificial intelligence,machine learning and bivariate statistics[J].Catena,2019,183:104179.

[8] GHOSH A,KAR S K.Application of analytical hierarchy process (AHP) for flood risk assessment:a case study in Malda district of West Bengal,India[J].Natural Hazards,2018,94(1):349-368.

[9] 魏博文,李玥康,漆宇豪,等.基于水动力与模糊综合模型的洪水风险评价[J].水利水电技术(中英文),2022,53(9):45-56.WEI B W,LI Y K,QI Y H,et al.Flood risk assessment based on hydrodynamic and fuzzy comprehensive model[J].Water Resources and Hydropower Engineering,2022,53(9):45-56.

[10] 苏广全,吕海深,朱永华,等.基于博弈论组合赋权的洪水风险评价:以武威地区为例[J].干旱区研究,2022,39(3):801-809.SU G Q,LYU H S,ZHU Y H,et al.Combined weight method based on game theory for flood risk assessment in the Wuwei Region[J].Arid Zone Research,2022,39(3):801-809.

[11] 周轶,陈柳彤,黄靖玲,等.典型降雨情景下北京市十渡镇山洪灾害风险评估[J].灾害学,2021,36(3):97-102.ZHOU Y,CHEN L T,HUANG J L,et al.Flash flood risk assessment in Shidu,Beijing under the typical rainfall scenario[J].Journal of Catastrophology,2021,36(3):97-102.

[12] 孙海,嵇文捷,郑雅芝.基于栅格与云模型的风暴潮洪水风险模拟评估方法:以珠海市香洲区为例[J].自然灾害学报,2022,31(1):69-80.SUN H,JI W J,ZHENG Y Z.Storm surge flood risk simulation and evaluation method based on grid and cloud model:a case study of Xiangzhou District,Zhuhai City[J].Journal of Natural Disasters,2022,31(1):69-80.

[13] 王娜,张学霞,古丽米热,等.北京市房山区县域山洪灾害风险评价研究[J].水电能源科学,2022,40(11):85-89.WANG N,ZHANG X X,GU L,et al.Risk assessment of mountain torrent disaster based on county territories of Fangshan District in Beijing[J].Water Resources and Power,2022,40(11):85-89.

[14] 中华人民共和国水利部.防洪风险评价导则:SL 602—2013[S].北京:中国水利水电出版社,2013.Ministry of Water Resources of the People′s Republic of China.Guidelines for assessment of flood control risk:SL 602—2013[S].Beijing:China Water &Power Press,2013.

[15] 葛巍,李宗坤,李娟娟,等.改进的集对分析法在溃坝社会影响评价中的应用[J].长江科学院院报,2020,37(1):44-49.GE W,LI Z K,LI J J,et al.An improvement on set pair analysis and its application to social impact assessment of dam breach[J].Journal of Yangtze River Scientific Research Institute,2020,37(1):44-49.

[16] 李宗坤,李奇,葛巍,等.基于集对分析的大坝风险后果综合评价[J].人民黄河,2016,38(9):111-114.LI Z K,LI Q,GE W,et al.Comprehensive assessment of dam risk consequences caused by the dam failure based on the set pair analysis[J].Yellow River,2016,38(9):111-114.

[17] 李守义,何冠洁,夏可,等.基于可变模糊集理论的溃坝后果综合评价[J].安全与环境学报,2019,19(1):1-7.LI S Y,HE G J,XIA K,et al.A comprehensive hazard assessment model for the consequence to be caused by the dam collapse based on the theory of variable fuzzy sets[J].Journal of Safety and Environment,2019,19(1):1-7.

[18] 王仁钟,李雷,盛金保.水库大坝的社会与环境风险标准研究[J].安全与环境学报,2006,6(1):8-11.WANG R Z,LI L,SHENG J B.On criterion of social and environmental risk of reservoir dams[J].Journal of Safety and Environment,2006,6(1):8-11.

[19] 葛巍,秦玉盼,李宗坤,等.基于集对分析与三角模糊数耦合的溃坝环境影响评价[J].水利水运工程学报,2022(3):108-114.GE W,QIN Y P,LI Z K,et al.Comprehensive assessment of environmental impact of dam breach based on set pair analysis and triangular fuzzy number coupling method[J].Hydro-Science and Engineering,2022(3):108-114.

[20] 王倩丽,马细霞,刘欣欣,等.基于随机森林的山洪灾害风险评价方法及应用[J].人民黄河,2022,44(4):63-66,73.WANG Q L,MA X X,LIU X X,et al.Mountain torrent disaster risk assessment method and application based on random forest[J].Yellow River,2022,44(4):63-66,73.

[21] 葛巍,焦余铁,洪辛茜,等.基于AHP-BN法的溃坝生命损失风险评价[J].郑州大学学报(工学版),2021,42(3):8-12.GE W,JIAO Y T,HONG X Q,et al.Risk assessment of life loss caused by dam breach based on AHP-BN method[J].Journal of Zhengzhou University (Engineering Science),2021,42(3):8-12.

[22] 李宗坤,吴赛,李定斌,等.南水北调中线工程潮河段征迁安置风险分析[J].郑州大学学报(工学版),2016,37(4):57-61.LI Z K,WU S,LI D B,et al.Risk analysis of land requisition and resettlement in tidal river section of the south to north water diversion middle route project[J].Journal of Zhengzhou University (Engineering Science),2016,37(4):57-61.

[23] 杨德玮,周克发,董凯,等.城市型水库溃坝生命损失估算研究[J].人民黄河,2022,44(7):37-43.YANG D W,ZHOU K F,DONG K,et al.Research on estimation of loss of life caused by dam break of urban reservoir[J].Yellow River,2022,44(7):37-43.

[24] 陈宇,王瑛,刘庆爱,等.基于土地利用的山洪灾害损失评估模型研究[J].自然灾害学报,2021,30(2):52-59.CHEN Y,WANG Y,LIU Q A,et al.Study on loss assessment model of flash flood disaster based on land use[J].Journal of Natural Disasters,2021,30(2):52-59.

Risk Consequence Evaluation of Flash Flood Disaster Based on Attribute-Set Pair Coupling

LI Zongkun1,ZHANG Yadong1,WANG Te2,GE Wei1,HU Tiecheng3,WANG Hong4

(1.School of Water Conservancy and Transportation,Zhengzhou University,Zhengzhou 450001,China; 2.School of Water Conservancy,North China University of Water Resources and Electric Power,Zhengzhou 450046,China; 3.Zhengzhou Water Conservancy Construction Survey Design Institute,Zhengzhou 450006,China; 4.Qingdao Water Authority,Qingdao 266071,China)

AbstractIn response to the significant differences in the spatiotemporal distribution of flash flood disasters and the uncertainty of influencing factors in the evaluation process,which can easily cause distortion of evaluation index values and loss of risk index information,evaluation indices were divided into loss of life,economic loss,environmental impact,and social impact.Their grading standards were subdivided,and quantified.The variable weight theory was used to modify the combination of constant weight,and the attribute measurement comprehensive evaluation vector was used to transform and analyze the uncertainty information.Combined with the attribute set pair coefficient,the severity of disaster consequences was judged,and a risk consequence evaluation model based on attri-bute-set pair coupling was constructed.The model was applied to the evaluation of flash flood disasters in the 20 a,50 a and 100 a return rainstorm scenarios in Guxian County,Shanxi Province.The results showed that the model could effectively quantify the risk consequence grades under rainstorm scenarios with different return periods,which was basically consistent with the evaluation grades calculated by other models,demonstrating the good applicability of the proposed method.

Keywordsflash flood disaster; attribute interval identification; set pair analysis; risk consequence evaluation

中图分类号:TV87;X915.5

文献标志码:A

doi:10.13705/j.issn.1671-6833.2025.04.024

收稿日期:2025-04-02;修订日期:2025-05-15

基金项目:国家自然科学基金资助项目(52179144,42507625,52079127)

作者简介:李宗坤(1961—),男,河南邓州人,郑州大学教授,博士,博士生导师,主要从事水利工程风险评估与防控研究,E-mail:lizongkun@zzu.edu.cn。

通信作者:葛巍(1990—),男,江苏沭阳人,郑州大学教授,博士,博士生导师,主要从事水利工程风险评估与防控研究,E-mail:gewei@zzu.edu.cn。

引用本文:李宗坤,张亚东,王特,等.基于属性-集对耦合的山洪灾害风险后果评价[J].郑州大学学报(工学版),2026,47(1):18-24.(LI Z K,ZHANG Y D,WANG T,et al.Risk consequence evaluation of flash flood disaster based on attribute-set pair coupling[J].Journal of Zhengzhou University (Engineering Science),2026,47(1):18-24.)

文章编号:1671-6833(2026)01-0018-07